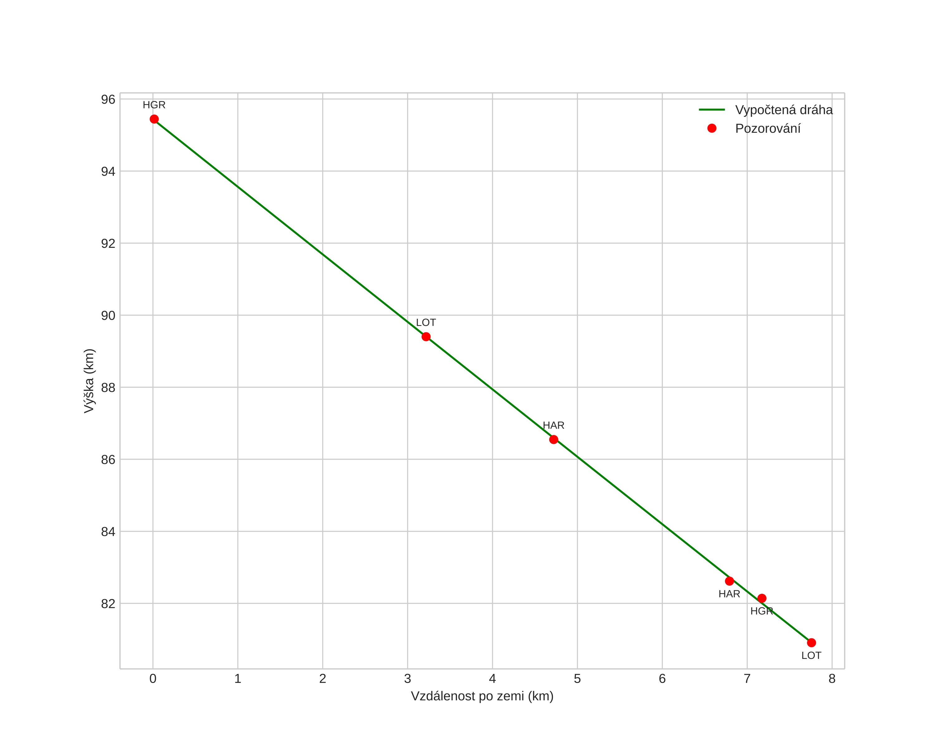
Atmosférická dráha meteoru:
| Počátečnà výška: | 95,4 km |
| Konečná výška: | 80,9 km |
| Počátečnà poloha: | 60,825N 11,349E |
| Konečná poloha: | 60,784N 11,465E |
| Směr: | 126,0° |
| Sklon: | 61,8° |
| VstupnĂ rychlost: | 22,9 km/s |
| Rektascenze radiantu: | 19:29 (292,3°) |
| Deklinace radiantu: | 63,4° |
| MeteorickĂ˝ roj: | sporadickĂ˝ |
|
Elementy dráhy meteoroidu:
| Vzdálenost v periheliu: | 0,984 AU |
| Excentricita: | 0,699 |
| Sklon dráhy: | 30,5° |
| Délka vzestupného uzlu: | 266,7° |
| Argument perihelia: | 179,5° |
| Střednà anomálie: | 0,1° |
| Epocha: | 2025 DEC 18 17:26:35 |
|