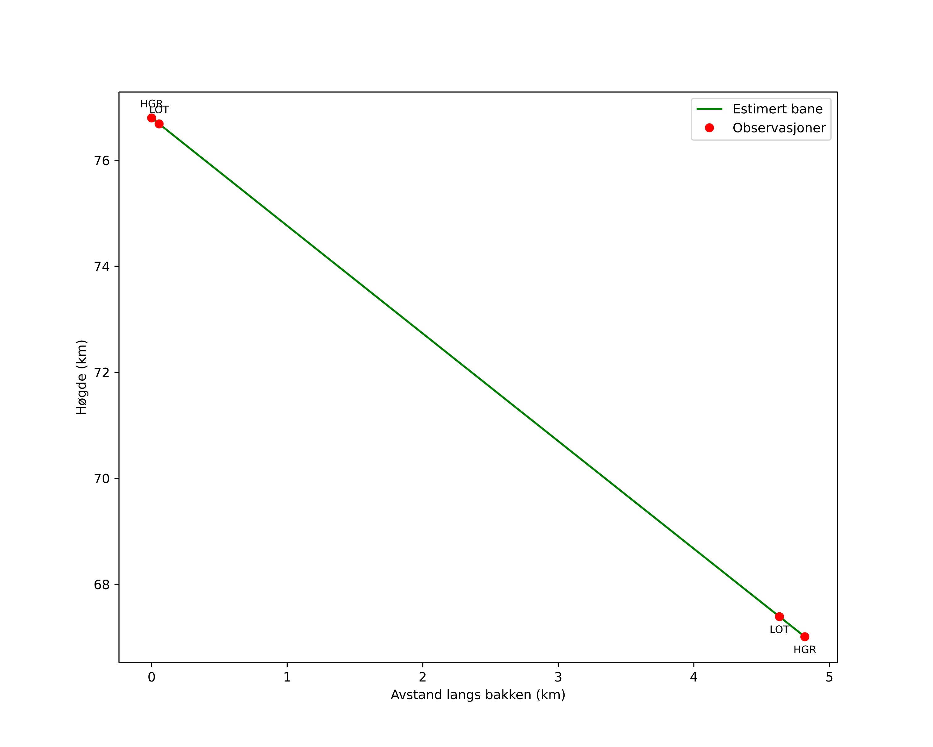
Atmosférická dráha meteoru:
| Počátečnà výška: | 76,8 km |
| Konečná výška: | 67,0 km |
| Počátečnà poloha: | 60,283N 9,766E |
| Konečná poloha: | 60,323N 9,734E |
| Směr: | 338,8° |
| Sklon: | 63,8° |
| VstupnĂ rychlost: | 19,1 km/s |
| Rektascenze radiantu: | 02:32 (38,0°) |
| Deklinace radiantu: | 32,3° |
| MeteorickĂ˝ roj: | sporadickĂ˝ |
|
Elementy dráhy meteoroidu:
| Vzdálenost v periheliu: | 0,912 AU |
| Excentricita: | 0,958 |
| Sklon dráhy: | 6,2° |
| Délka vzestupného uzlu: | 267,8° |
| Argument perihelia: | 211,8° |
| Střednà anomálie: | 359,8° |
| Epocha: | 2025 DEC 19 19:16:18 |
|