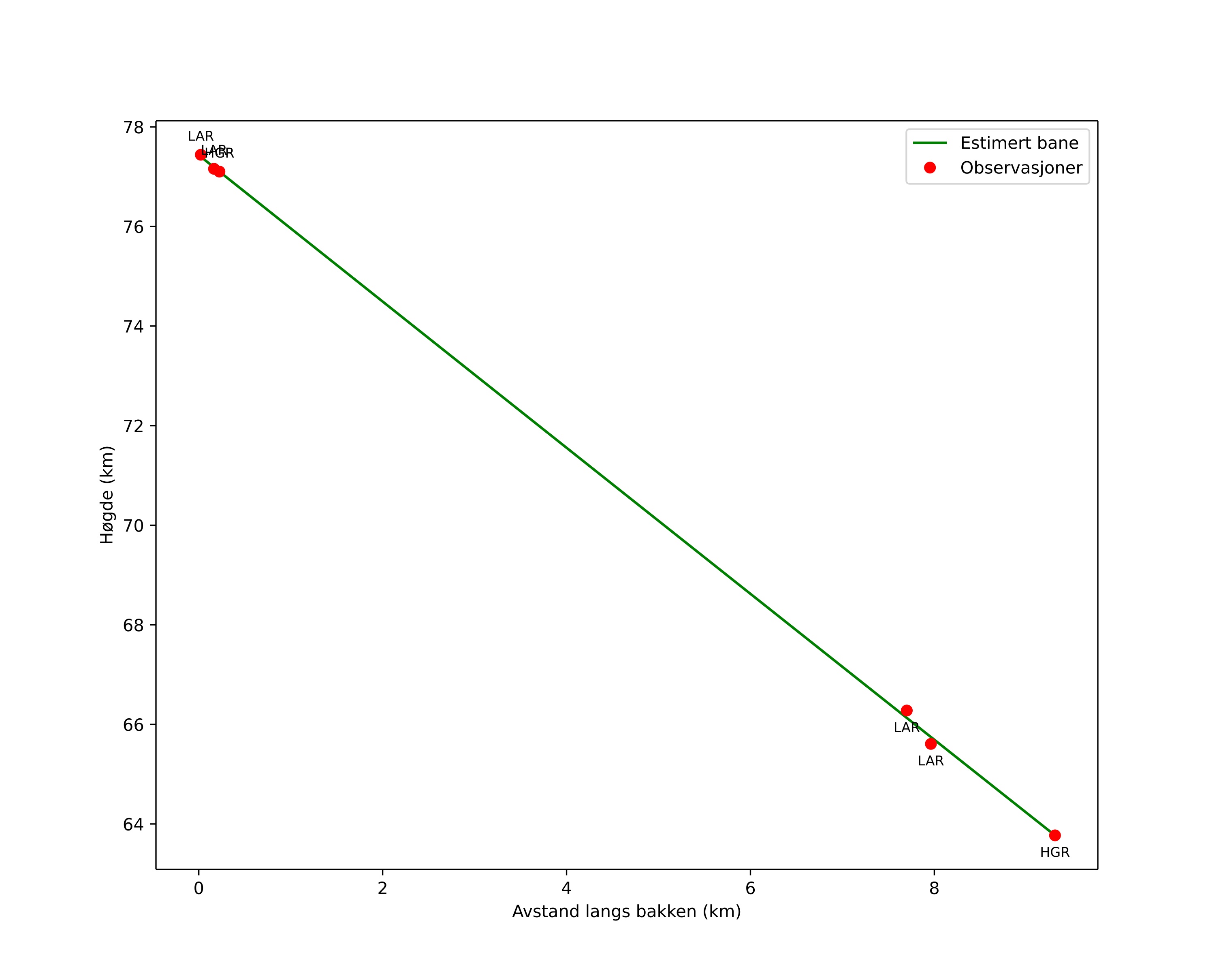
Atmosférická dráha meteoru:
| Počátečnà výška: | 77,4 km |
| Konečná výška: | 63,8 km |
| Počátečnà poloha: | 59,399N 8,501E |
| Konečná poloha: | 59,476N 8,441E |
| Směr: | 338,5° |
| Sklon: | 55,6° |
| VstupnĂ rychlost: | 16,6 km/s |
| Rektascenze radiantu: | 04:19 (64,8°) |
| Deklinace radiantu: | 21,1° |
| MeteorickĂ˝ roj: | sporadickĂ˝ |
|
Elementy dráhy meteoroidu:
| Vzdálenost v periheliu: | 0,844 AU |
| Excentricita: | 0,560 |
| Sklon dráhy: | 0,1° |
| Délka vzestupného uzlu: | 89,4° |
| Argument perihelia: | 51,3° |
| Střednà anomálie: | 346,3° |
| Epocha: | 2025 DEC 19 20:58:12 |
|