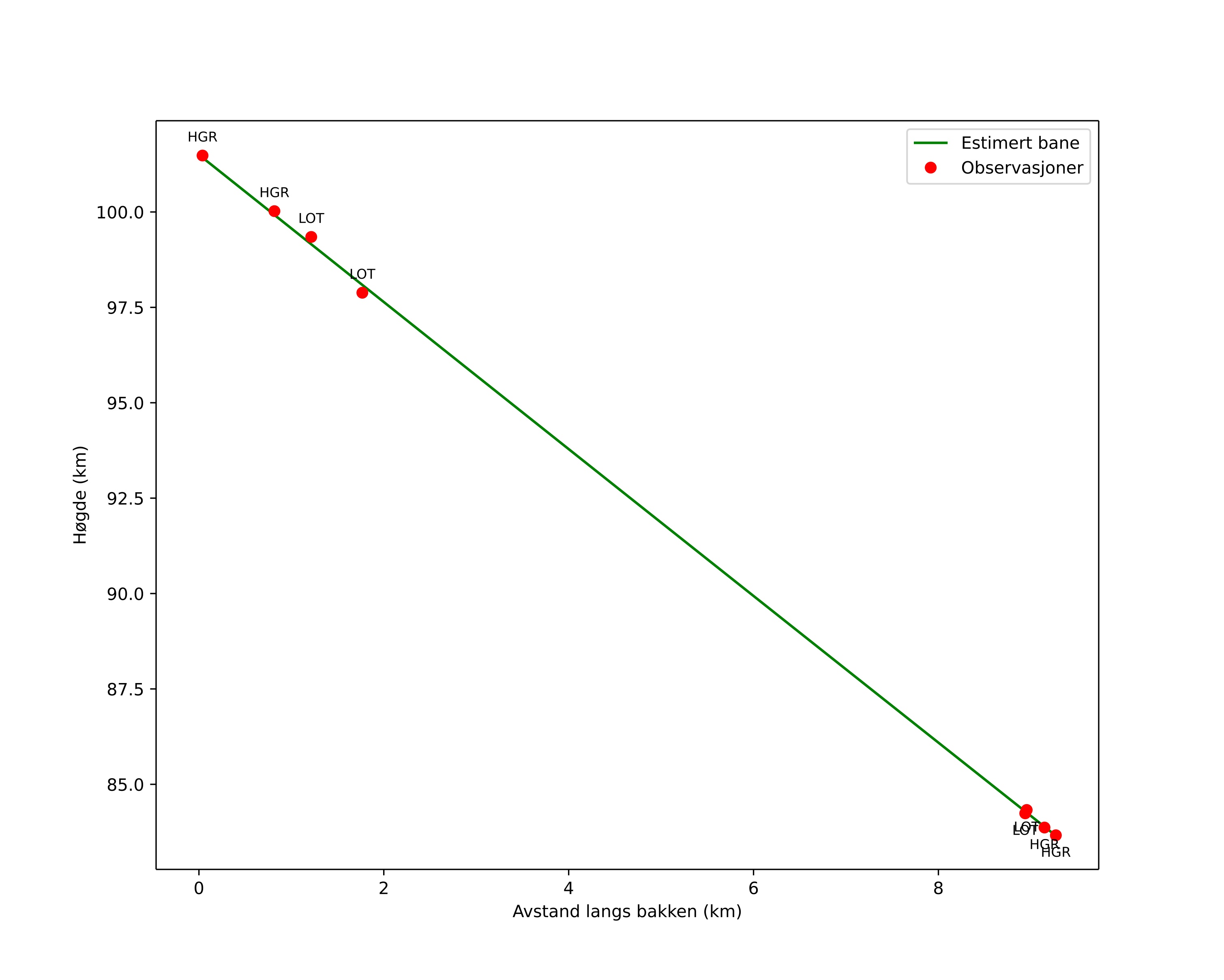
Atmosférická dráha meteoru:
| Počátečnà výška: | 101,5 km |
| Konečná výška: | 83,7 km |
| Počátečnà poloha: | 60,182N 12,681E |
| Konečná poloha: | 60,263N 12,641E |
| Směr: | 346,2° |
| Sklon: | 62,5° |
| VstupnĂ rychlost: | 44,8 km/s |
| Rektascenze radiantu: | 07:35 (114,0°) |
| Deklinace radiantu: | 32,7° |
| MeteorickĂ˝ roj: | sporadickĂ˝ |
|
Elementy dráhy meteoroidu:
| Vzdálenost v periheliu: | 0,144 AU |
| Excentricita: | 1,004 |
| Sklon dráhy: | 30,3° |
| Délka vzestupného uzlu: | 268,0° |
| Argument perihelia: | 314,7° |
| Střednà anomálie: | -0,1° |
| Epocha: | 2025 DEC 20 00:22:49 |
|