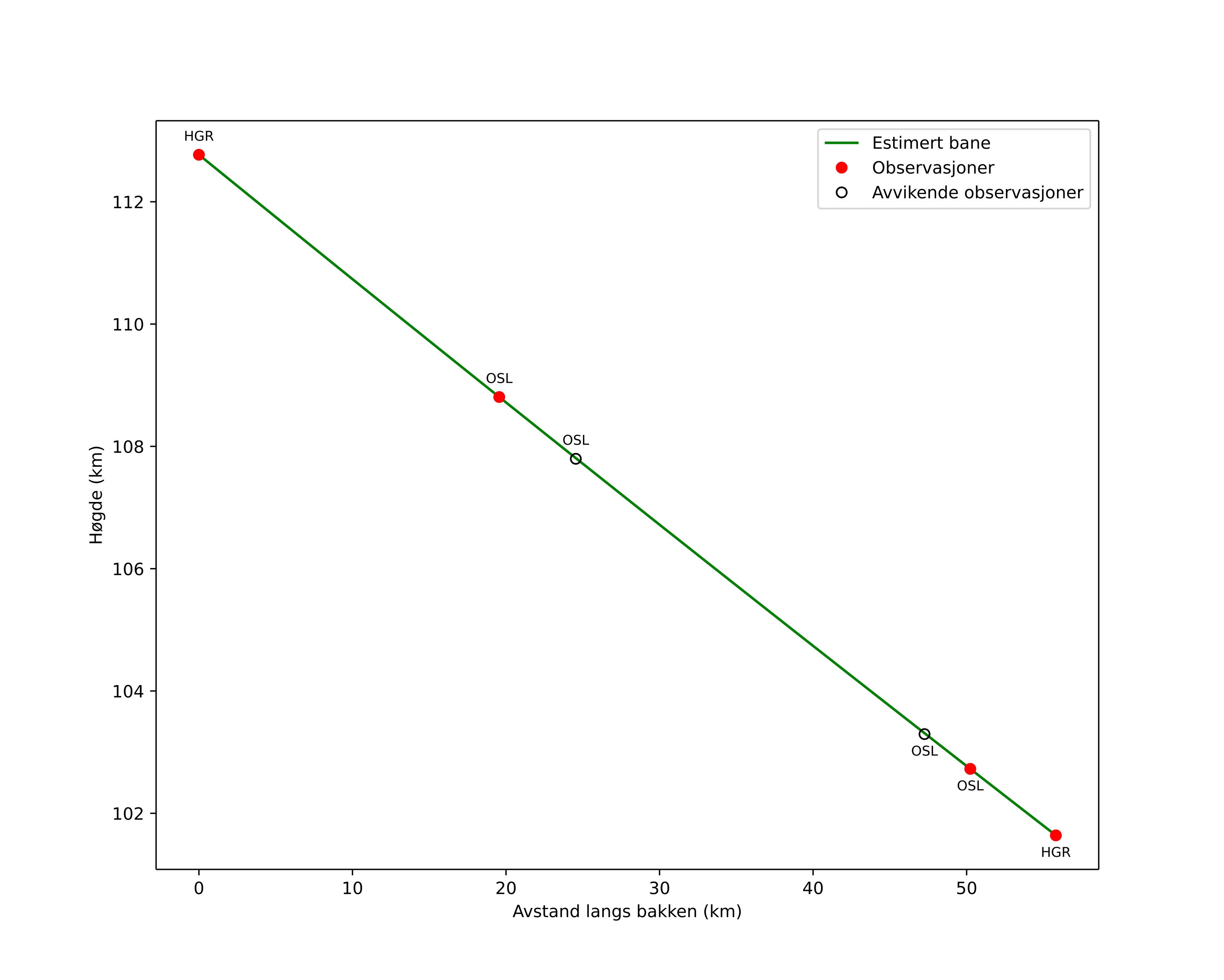
Meteorens atmosfæriske bane:
| Starthøgde: | 112,8 km |
| Slutthøgde: | 101,6 km |
| Startposisjon: | 62,131N 6,776E |
| Sluttposisjon: | 61,800N 5,972E |
| Retning: | 229,2° |
| Fallvinkel: | 11,3° |
| Inngangshastighet: | 66,9 km/s |
| Radiantens rektascensjon: | 10:37 (159,5°) |
| Radiantens deklinasjon: | 27,9° |
| Meteorsverm: | desember-leonis-minoridene |
|
Meteoroidens baneelement:
| Perihelavstand: | 0,537 AU |
| Eksentrisitet: | 1,068 |
| Inklinasjon: | 141,0° |
| Knutelengde: | 268,8° |
| Perihelargument: | 263,1° |
| Midlere anomali: | -1,6° |
| Epoke: | 2025 DEC 20 20:01:51 |
|