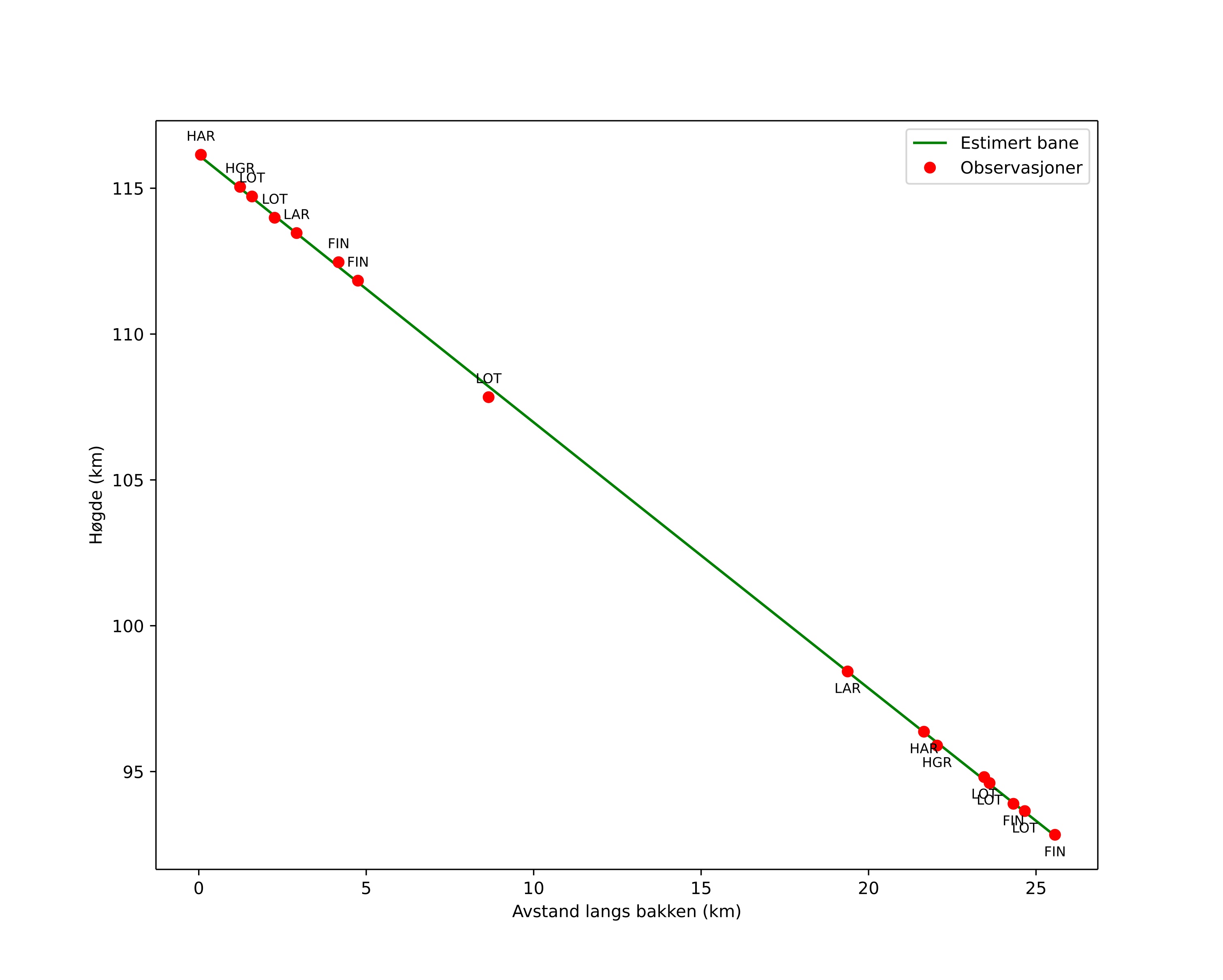
Meteorens atmosfæriske bane:
| Starthøgde: | 116,1 km |
| Slutthøgde: | 92,8 km |
| Startposisjon: | 59,965N 10,132E |
| Sluttposisjon: | 60,010N 9,681E |
| Retning: | 281,5° |
| Fallvinkel: | 42,4° |
| Inngangshastighet: | 57,3 km/s |
| Radiantens rektascensjon: | 10:40 (160,2°) |
| Radiantens deklinasjon: | 30,4° |
| Meteorsverm: | desember-leonis-minoridene |
|
Meteoroidens baneelement:
| Perihelavstand: | 0,385 AU |
| Eksentrisitet: | 0,776 |
| Inklinasjon: | 128,8° |
| Knutelengde: | 269,0° |
| Perihelargument: | 293,2° |
| Midlere anomali: | 340,5° |
| Epoke: | 2025 DEC 21 00:13:09 |
|