🇳🇴 🇬🇧 🇩🇪 🇨🇿 🇫🇮

Meteor over Innbygda 2025-12-21 01:48:41 UTC

KML-fil  |  Interaktivt kart

Kartet viser peilingene for meteoren. De lysere linjene viser retningene fra observasjonsstedene for meteorens tilsynekomst, og de mørkere linjene viser hvor den sist kunne sees. Den blå pila viser meteorens synlige ferd.

static map
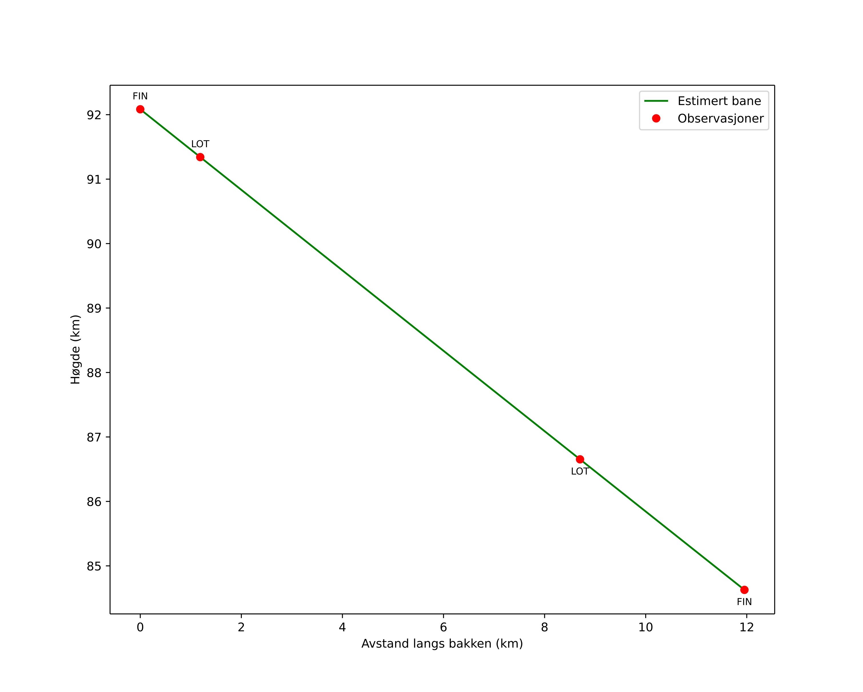
height profile
Meteorens atmosfæriske bane:
Starthøgde: 92,1 km
Slutthøgde: 84,6 km
Startposisjon: 61,150N 12,380E
Sluttposisjon: 61,213N 12,562E
Retning: 54,4°
Fallvinkel: 32,1°
Inngangshastighet: 22,8 km/s
Radiantens rektascensjon: 05:27 (81,9°)
Radiantens deklinasjon: 9,1°
Meteorsverm: sporadisk
Meteoroidens baneelement:
Perihelavstand: 0,685 AU
Eksentrisitet: 0,746
Inklinasjon: 8,5°
Knutelengde: 89,1°
Perihelargument: 73,1°
Midlere anomali: 350,8°
Epoke: 2025 DEC 21 01:48:41
orbit plot

Ikke-interaktivt plott | Interaktivt plott

position vs time
speed and acceleration

Finnskogen (FIN) cam6


gnomonic
Videoer
• Gnomonisk
• Gnomonisk med koordinater
• Original
• Original med koordinater
Bilder
• Gnomonisk
• Gnomonisk med koordinater
• Original
• Original med koordinater
Tekstfiler
• Deteksjon
• Observasjon
• Koordinater
• Logg
Lysstyrke

Loten (LOT) cam6


gnomonic
Videoer
• Gnomonisk
• Gnomonisk med koordinater
• Original
• Original med koordinater
Bilder
• Gnomonisk
• Gnomonisk med koordinater
• Original
• Original med koordinater
Tekstfiler
• Deteksjon
• Observasjon
• Koordinater
• Logg
Lysstyrke