🇳🇴 🇬🇧 🇩🇪 🇨🇿 🇫🇮

Meteor over Torsby 2025-12-21 04:15:12 UTC

KML-fil  |  Interaktivt kart

Kartet viser peilingene for meteoren. De lysere linjene viser retningene fra observasjonsstedene for meteorens tilsynekomst, og de mørkere linjene viser hvor den sist kunne sees. Den blå pila viser meteorens synlige ferd.

static map
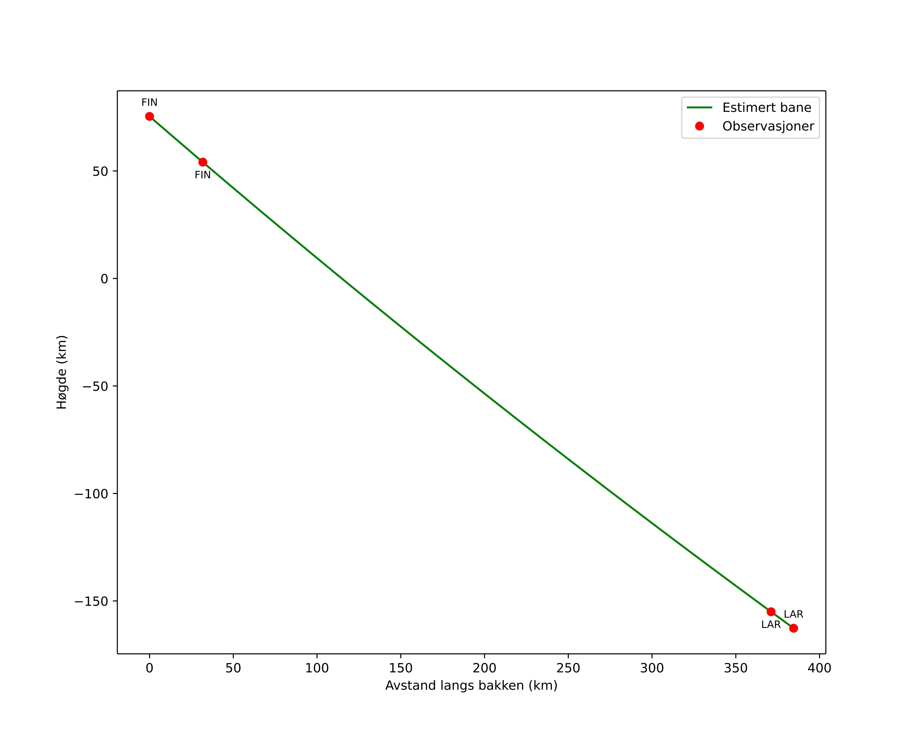
height profile
Meteorens atmosfæriske bane:
Starthøgde: 75,4 km
Slutthøgde: -162,7 km
Startposisjon: 60,825N 20,053E
Sluttposisjon: 60,554N 13,007E
Retning: 268,6°
Fallvinkel: 31,8°
Inngangshastighet: 70,1 km/s
Radiantens rektascensjon: 16:31 (248,0°)
Radiantens deklinasjon: 27,8°
Meteorsverm: sporadisk
Meteoroidens baneelement:
Perihelavstand: 0,739 AU
Eksentrisitet: 3,096
Inklinasjon: 81,3°
Knutelengde: 269,2°
Perihelargument: 132,1°
Midlere anomali: 87,7°
Epoke: 2025 DEC 21 04:15:12
orbit plot

Ikke-interaktivt plott | Interaktivt plott

position vs time
speed and acceleration

Finnskogen (FIN) cam2


gnomonic
Videoer
• Gnomonisk
• Gnomonisk med koordinater
• Original
• Original med koordinater
Bilder
• Gnomonisk
• Gnomonisk med koordinater
• Original
• Original med koordinater
Tekstfiler
• Deteksjon
• Observasjon
• Koordinater
• Logg
Lysstyrke

Larvik (LAR) cam4


gnomonic
Videoer
• Gnomonisk
• Gnomonisk med koordinater
• Original
• Original med koordinater
Bilder
• Gnomonisk
• Gnomonisk med koordinater
• Original
• Original med koordinater
Tekstfiler
• Deteksjon
• Observasjon
• Koordinater
• Logg
Lysstyrke