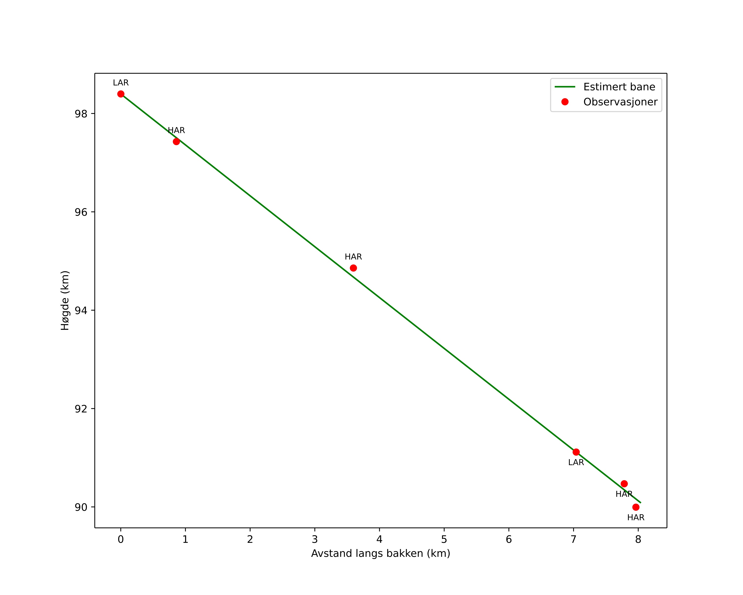
Atmosférická dráha meteoru:
| Počátečnà výška: | 98,4 km |
| Konečná výška: | 90,1 km |
| Počátečnà poloha: | 59,035N 10,274E |
| Konečná poloha: | 58,964N 10,301E |
| Směr: | 168,8° |
| Sklon: | 45,9° |
| VstupnĂ rychlost: | 32,4 km/s |
| Rektascenze radiantu: | 16:18 (244,5°) |
| Deklinace radiantu: | 73,8° |
| MeteorickĂ˝ roj: | Ursidy |
|
Elementy dráhy meteoroidu:
| Vzdálenost v periheliu: | 0,969 AU |
| Excentricita: | 0,803 |
| Sklon dráhy: | 48,3° |
| Délka vzestupného uzlu: | 269,8° |
| Argument perihelia: | 195,1° |
| Střednà anomálie: | 359,0° |
| Epocha: | 2025 DEC 21 19:28:29 |
|