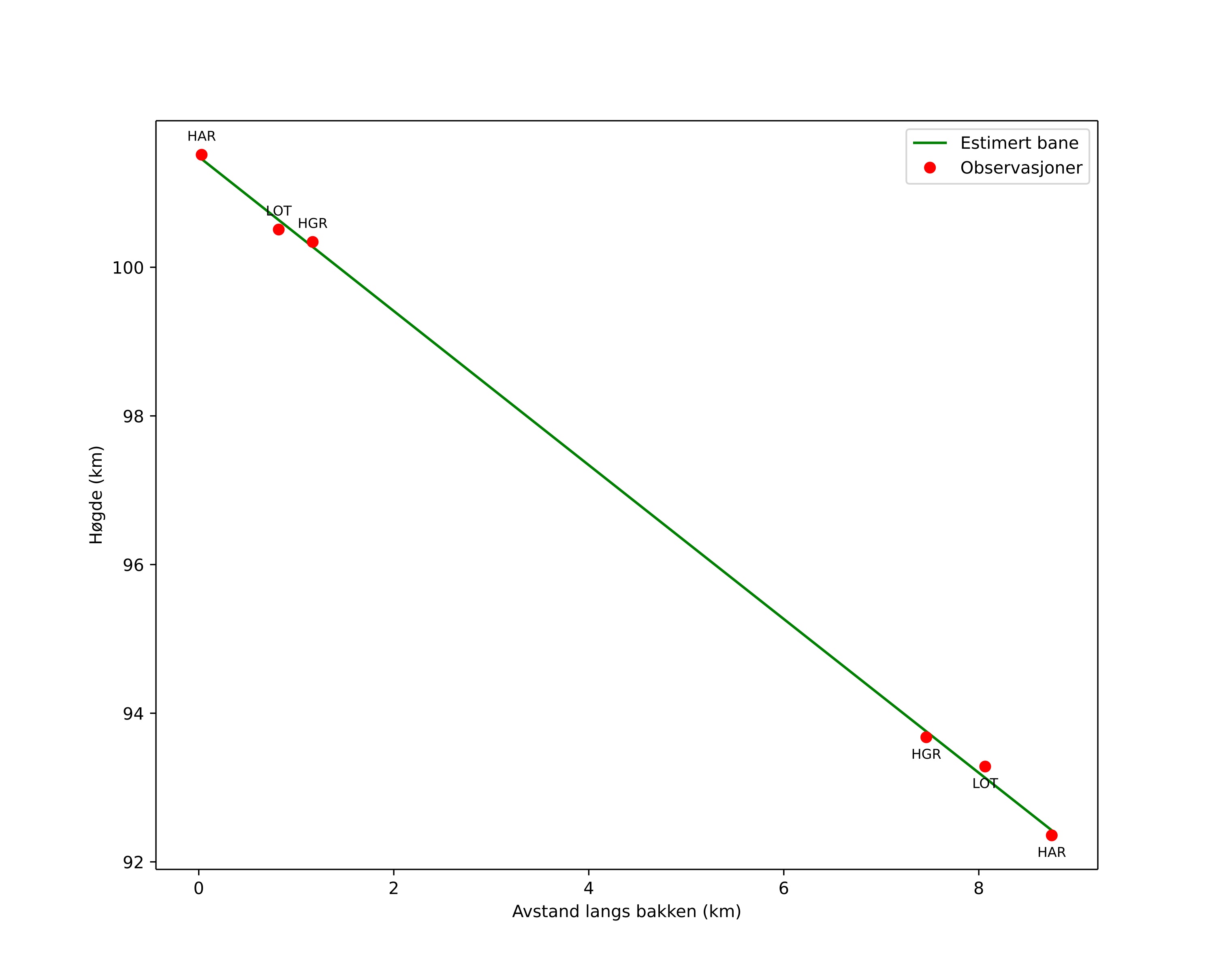
Atmosférická dráha meteoru:
| Počátečnà výška: | 101,5 km |
| Konečná výška: | 92,4 km |
| Počátečnà poloha: | 60,817N 9,368E |
| Konečná poloha: | 60,738N 9,380E |
| Směr: | 175,9° |
| Sklon: | 46,0° |
| VstupnĂ rychlost: | 37,4 km/s |
| Rektascenze radiantu: | 15:05 (226,5°) |
| Deklinace radiantu: | 74,1° |
| MeteorickĂ˝ roj: | Ursidy |
|
Elementy dráhy meteoroidu:
| Vzdálenost v periheliu: | 0,955 AU |
| Excentricita: | 0,981 |
| Sklon dráhy: | 55,6° |
| Délka vzestupného uzlu: | 269,8° |
| Argument perihelia: | 199,9° |
| Střednà anomálie: | 360,0° |
| Epocha: | 2025 DEC 21 19:38:21 |
|