🇳🇴 🇬🇧 🇩🇪 🇨🇿 🇫🇮

Meteor over Dokka 2025-12-21 21:56:59 UTC

KML-fil  |  Interaktivt kart

Kartet viser peilingene for meteoren. De lysere linjene viser retningene fra observasjonsstedene for meteorens tilsynekomst, og de mørkere linjene viser hvor den sist kunne sees. Den blå pila viser meteorens synlige ferd.

static map
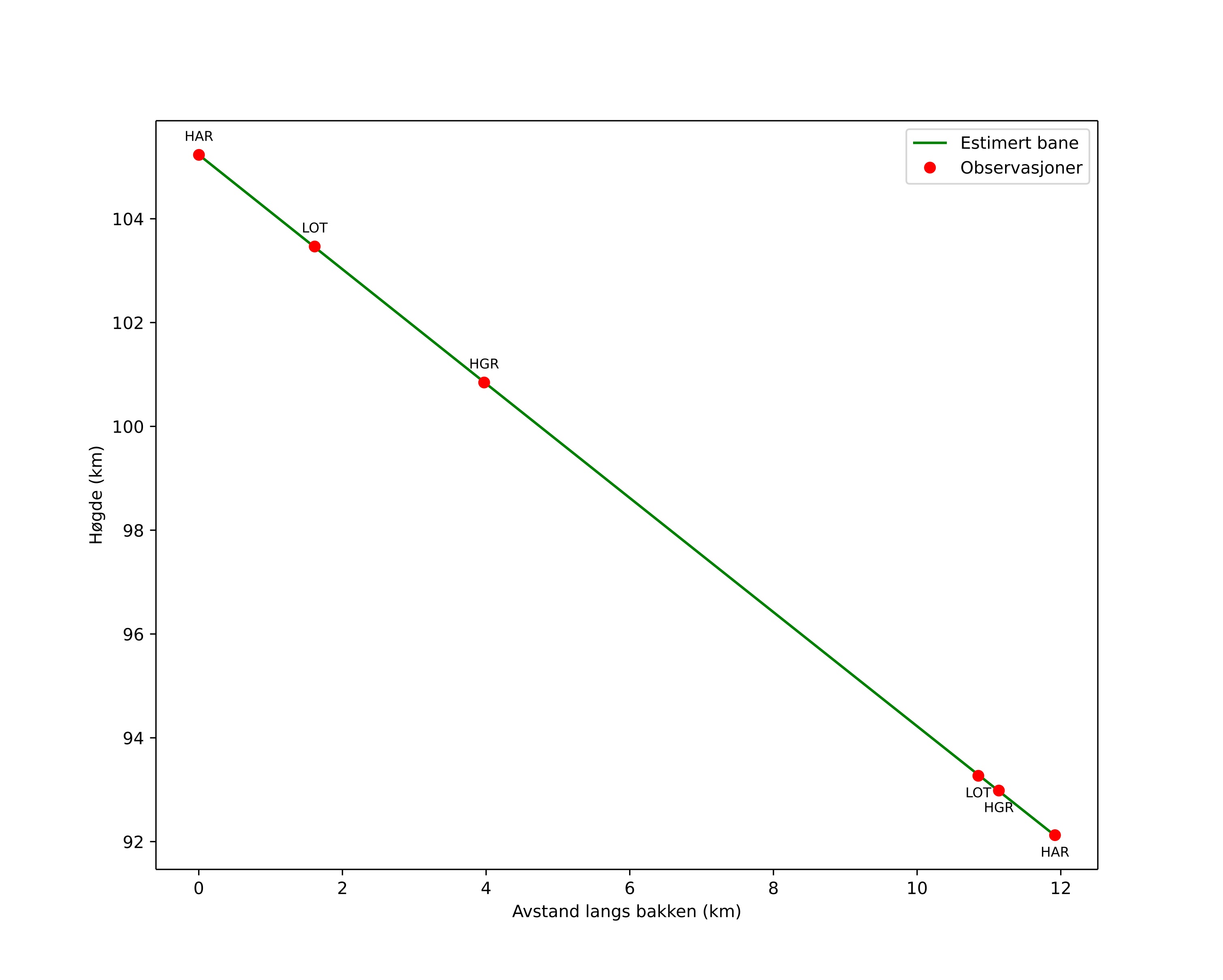
height profile
Meteorens atmosfæriske bane:
Starthøgde: 105,2 km
Slutthøgde: 92,1 km
Startposisjon: 61,045N 10,278E
Sluttposisjon: 60,940N 10,232E
Retning: 192,0°
Fallvinkel: 47,7°
Inngangshastighet: 32,7 km/s
Radiantens rektascensjon: 14:41 (220,3°)
Radiantens deklinasjon: 74,1°
Meteorsverm: Ursidene
Meteoroidens baneelement:
Perihelavstand: 0,944 AU
Eksentrisitet: 0,650
Inklinasjon: 50,8°
Knutelengde: 269,9°
Perihelargument: 206,3°
Midlere anomali: 355,6°
Epoke: 2025 DEC 21 21:56:59
orbit plot

Ikke-interaktivt plott | Interaktivt plott

position vs time
speed and acceleration

Hagar (HGR) cam7


gnomonic
Videoer
• Gnomonisk
• Gnomonisk med koordinater
• Original
• Original med koordinater
Bilder
• Gnomonisk
• Gnomonisk med koordinater
• Original
• Original med koordinater
Tekstfiler
• Deteksjon
• Observasjon
• Koordinater
• Logg
Lysstyrke

Harestua (HAR) cam1


gnomonic
Videoer
• Gnomonisk
• Gnomonisk med koordinater
• Original
• Original med koordinater
Bilder
• Gnomonisk
• Gnomonisk med koordinater
• Original
• Original med koordinater
Tekstfiler
• Deteksjon
• Observasjon
• Koordinater
• Logg
Lysstyrke

Loten (LOT) cam6


gnomonic
Videoer
• Gnomonisk
• Gnomonisk med koordinater
• Original
• Original med koordinater
Bilder
• Gnomonisk
• Gnomonisk med koordinater
• Original
• Original med koordinater
Tekstfiler
• Deteksjon
• Observasjon
• Koordinater
• Logg
Lysstyrke