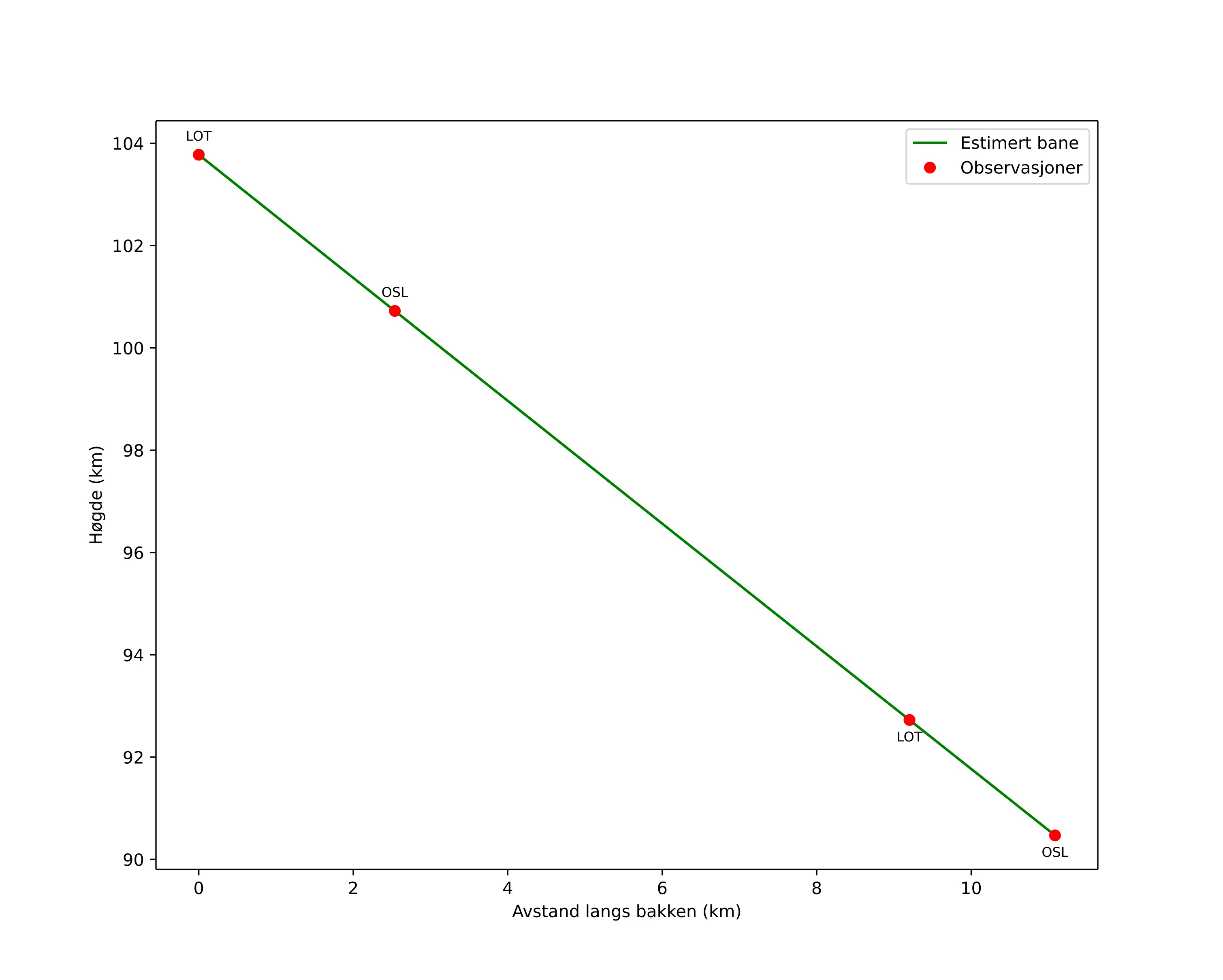
Atmosférická dráha meteoru:
| Počátečnà výška: | 104,1 km |
| Konečná výška: | 90,3 km |
| Počátečnà poloha: | 60,572N 12,158E |
| Konečná poloha: | 60,477N 12,078E |
| Směr: | 202,6° |
| Sklon: | 50,3° |
| VstupnĂ rychlost: | 33,3 km/s |
| Rektascenze radiantu: | 14:16 (214,0°) |
| Deklinace radiantu: | 73,3° |
| MeteorickĂ˝ roj: | Ursidy |
|
Elementy dráhy meteoroidu:
| Vzdálenost v periheliu: | 0,935 AU |
| Excentricita: | 0,626 |
| Sklon dráhy: | 52,3° |
| Délka vzestupného uzlu: | 270,0° |
| Argument perihelia: | 209,4° |
| Střednà anomálie: | 354,5° |
| Epocha: | 2025 DEC 21 23:16:36 |
|