🇳🇴 🇬🇧 🇩🇪 🇨🇿 🇫🇮

Meteor over Mjøndalen 2025-12-21 23:41:43 UTC

KML-fil  |  Interaktivt kart

Kartet viser peilingene for meteoren. De lysere linjene viser retningene fra observasjonsstedene for meteorens tilsynekomst, og de mørkere linjene viser hvor den sist kunne sees. Den blå pila viser meteorens synlige ferd.

static map
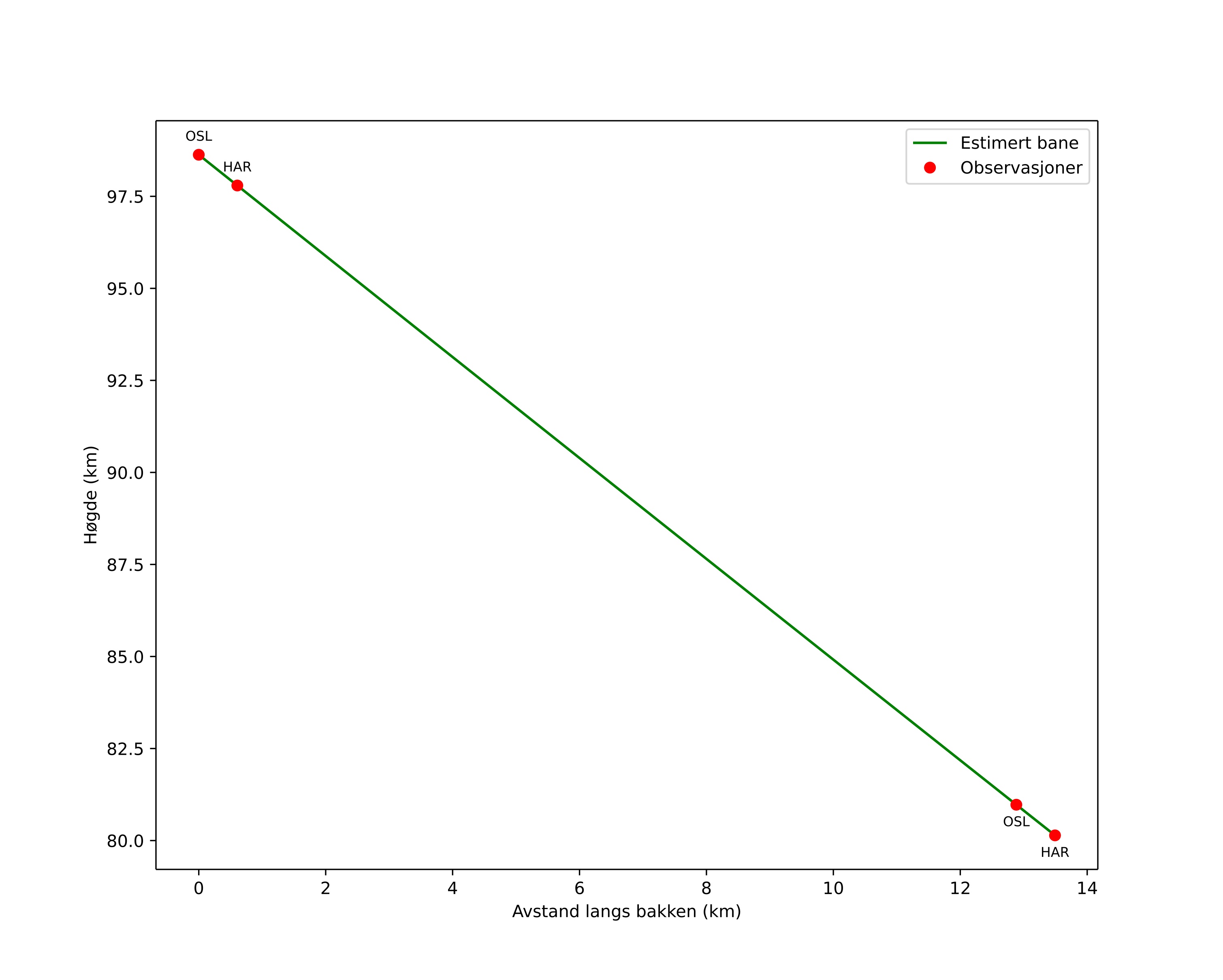
height profile
Meteorens atmosfæriske bane:
Starthøgde: 98,6 km
Slutthøgde: 80,1 km
Startposisjon: 59,603N 10,044E
Sluttposisjon: 59,722N 10,007E
Retning: 351,0°
Fallvinkel: 53,9°
Inngangshastighet: 30,3 km/s
Radiantens rektascensjon: 06:44 (101,2°)
Radiantens deklinasjon: 22,3°
Meteorsverm: sporadisk
Meteoroidens baneelement:
Perihelavstand: 0,379 AU
Eksentrisitet: 0,833
Inklinasjon: 0,8°
Knutelengde: 90,3°
Perihelargument: 110,5°
Midlere anomali: 347,8°
Epoke: 2025 DEC 21 23:41:43
orbit plot

Ikke-interaktivt plott | Interaktivt plott

position vs time
speed and acceleration

Harestua (HAR) cam7


gnomonic
Videoer
• Gnomonisk
• Gnomonisk med koordinater
• Original
• Original med koordinater
Bilder
• Gnomonisk
• Gnomonisk med koordinater
• Original
• Original med koordinater
Tekstfiler
• Deteksjon
• Observasjon
• Koordinater
• Logg
Lysstyrke

Voksenlia (OSL) cam7


gnomonic
Videoer
• Gnomonisk
• Gnomonisk med koordinater
• Original
• Original med koordinater
Bilder
• Gnomonisk
• Gnomonisk med koordinater
• Original
• Original med koordinater
Tekstfiler
• Deteksjon
• Observasjon
• Koordinater
• Logg
Lysstyrke