Atmosférická dráha meteoru:
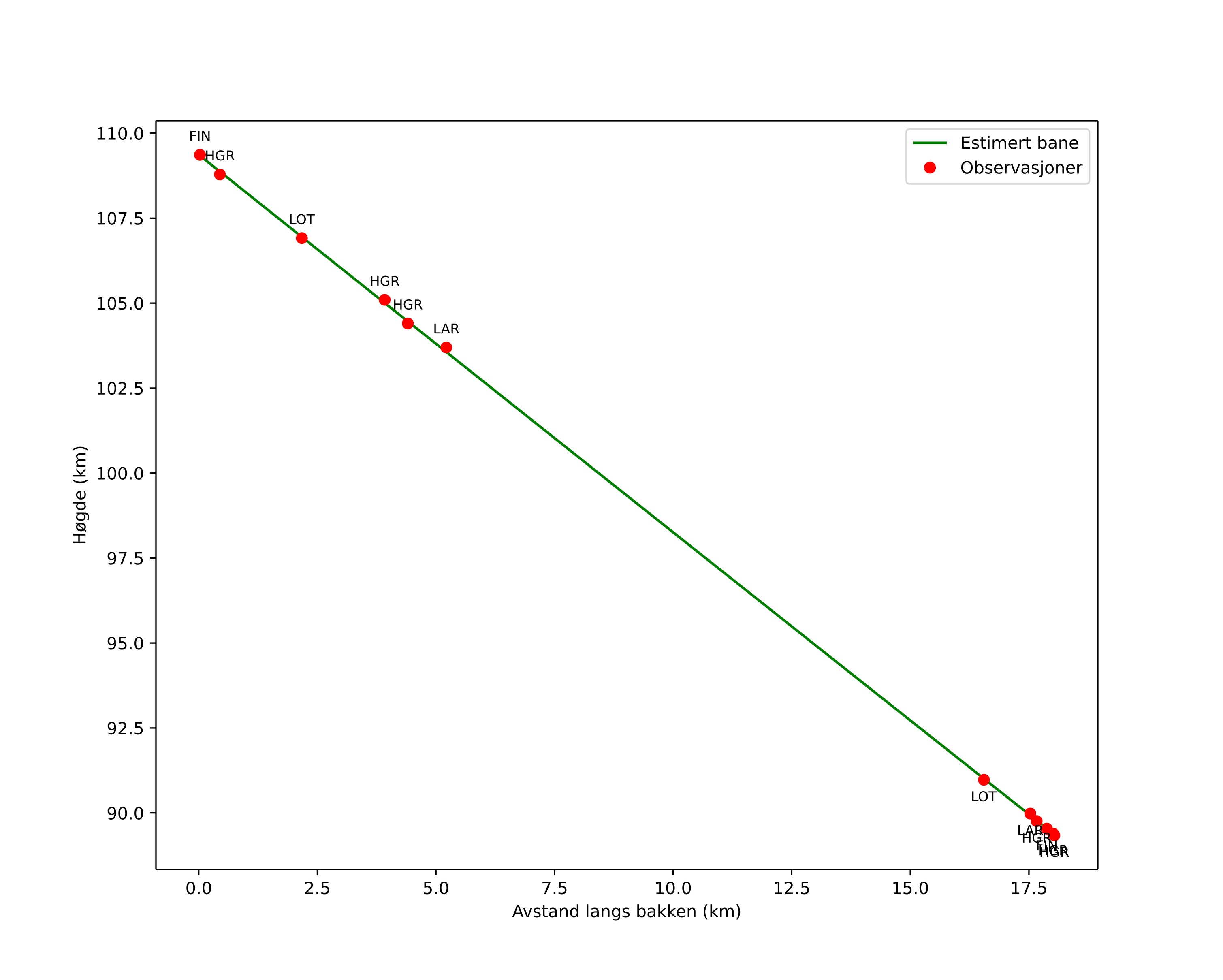
| Počátečnà výška: | 109,4 km |
| Konečná výška: | 89,4 km |
| Počátečnà poloha: | 61,221N 11,911E |
| Konečná poloha: | 61,348N 11,701E |
| Směr: | 321,8° |
| Sklon: | 47,9° |
| VstupnĂ rychlost: | 66,4 km/s |
| Rektascenze radiantu: | 10:51 (162,8°) |
| Deklinace radiantu: | 23,2° |
| MeteorickĂ˝ roj: | desember-leonis-minoridene |
|
Elementy dráhy meteoroidu:
| Vzdálenost v periheliu: | 0,564 AU |
| Excentricita: | 0,949 |
| Sklon dráhy: | 148,5° |
| Délka vzestupného uzlu: | 270,1° |
| Argument perihelia: | 262,9° |
| Střednà anomálie: | 359,0° |
| Epocha: | 2025 DEC 22 02:14:54 |
|