🇳🇴 🇬🇧 🇩🇪 🇨🇿 🇫🇮

Meteor over Munkfors 2025-12-22 02:38:26 UTC

KML-fil  |  Interaktivt kart

Kartet viser peilingene for meteoren. De lysere linjene viser retningene fra observasjonsstedene for meteorens tilsynekomst, og de mørkere linjene viser hvor den sist kunne sees. Den blå pila viser meteorens synlige ferd.

static map
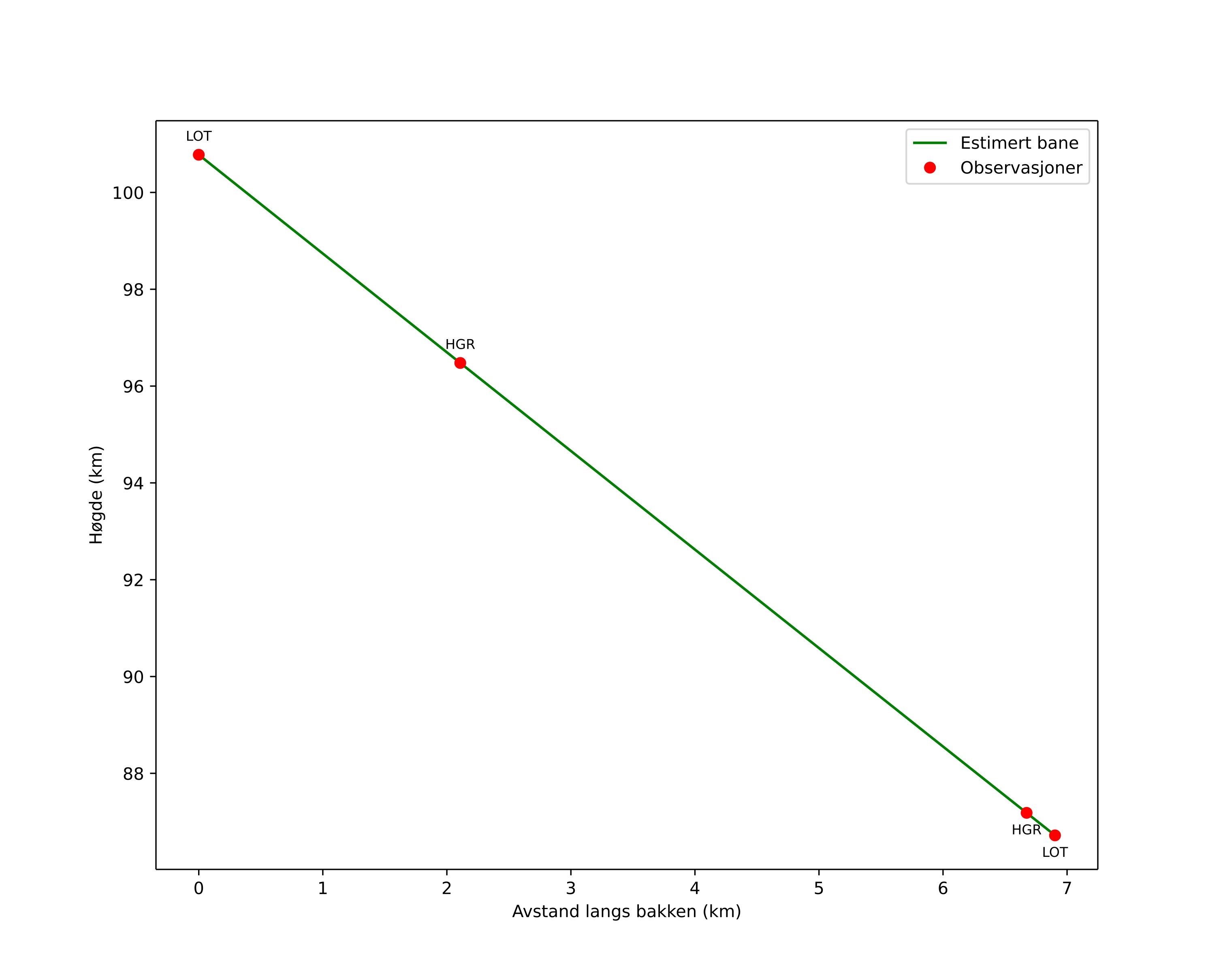
height profile
Meteorens atmosfæriske bane:
Starthøgde: 100,8 km
Slutthøgde: 86,7 km
Startposisjon: 59,860N 13,690E
Sluttposisjon: 59,813N 13,608E
Retning: 221,4°
Fallvinkel: 63,9°
Inngangshastighet: 39,5 km/s
Radiantens rektascensjon: 13:40 (205,1°)
Radiantens deklinasjon: 70,7°
Meteorsverm: Ursidene
Meteoroidens baneelement:
Perihelavstand: 0,926 AU
Eksentrisitet: 0,855
Inklinasjon: 61,4°
Knutelengde: 270,1°
Perihelargument: 209,2°
Midlere anomali: 358,8°
Epoke: 2025 DEC 22 02:38:26
orbit plot

Ikke-interaktivt plott | Interaktivt plott

position vs time
speed and acceleration

Hagar (HGR) cam4


gnomonic
Videoer
• Gnomonisk
• Gnomonisk med koordinater
• Original
• Original med koordinater
Bilder
• Gnomonisk
• Gnomonisk med koordinater
• Original
• Original med koordinater
Tekstfiler
• Deteksjon
• Observasjon
• Koordinater
• Logg
Lysstyrke

Loten (LOT) cam3


gnomonic
Videoer
• Gnomonisk
• Gnomonisk med koordinater
• Original
• Original med koordinater
Bilder
• Gnomonisk
• Gnomonisk med koordinater
• Original
• Original med koordinater
Tekstfiler
• Deteksjon
• Observasjon
• Koordinater
• Logg
Lysstyrke