🇳🇴 🇬🇧 🇩🇪 🇨🇿 🇫🇮

Meteor over Dokka 2025-12-22 04:21:21 UTC

KML-fil  |  Interaktivt kart

Kartet viser peilingene for meteoren. De lysere linjene viser retningene fra observasjonsstedene for meteorens tilsynekomst, og de mørkere linjene viser hvor den sist kunne sees. Den blå pila viser meteorens synlige ferd.

static map
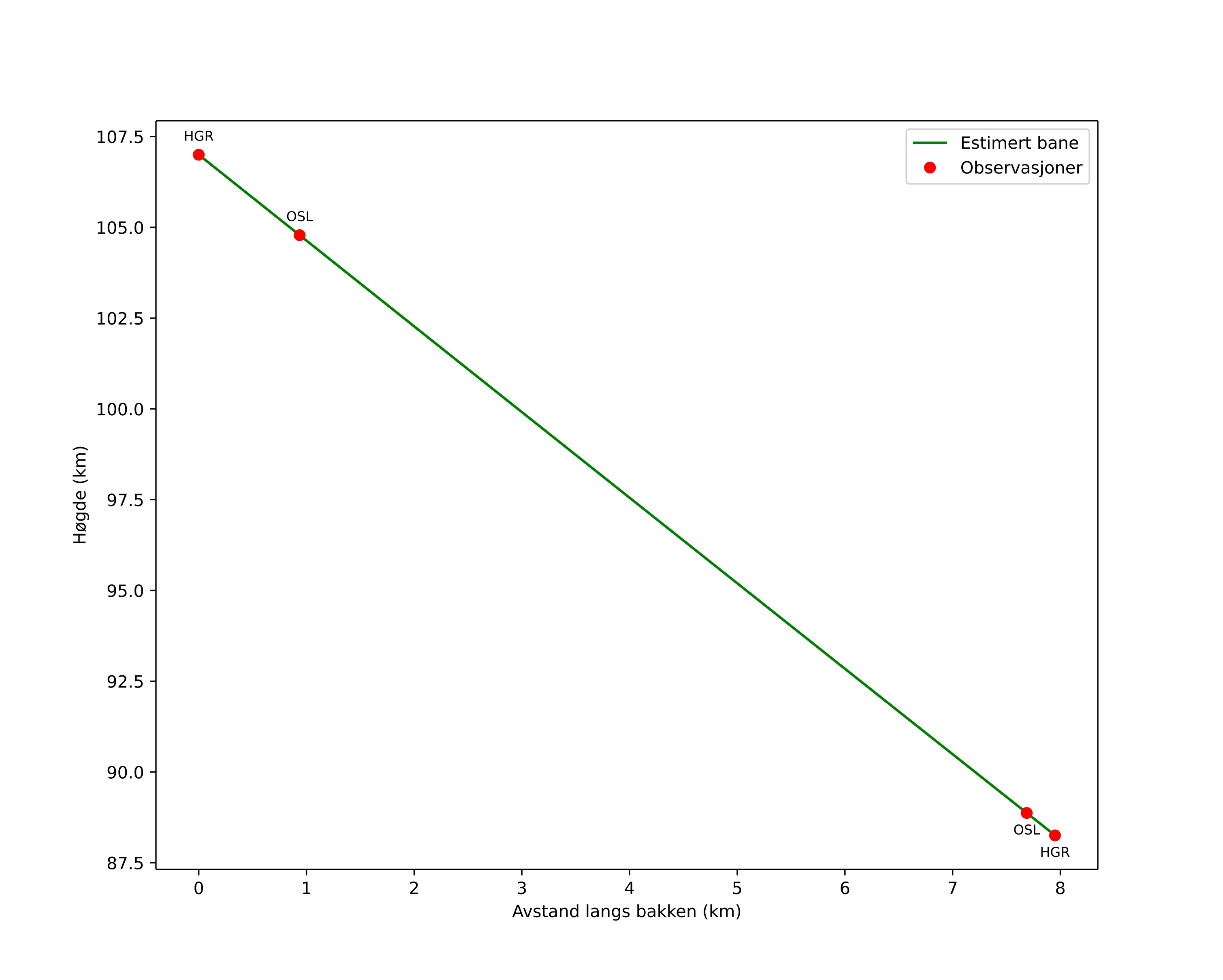
height profile
Meteorens atmosfæriske bane:
Starthøgde: 107,0 km
Slutthøgde: 88,3 km
Startposisjon: 60,726N 10,262E
Sluttposisjon: 60,705N 10,123E
Retning: 252,9°
Fallvinkel: 67,0°
Inngangshastighet: 40,5 km/s
Radiantens rektascensjon: 14:13 (213,4°)
Radiantens deklinasjon: 59,3°
Meteorsverm: sporadisk
Meteoroidens baneelement:
Perihelavstand: 0,973 AU
Eksentrisitet: 0,584
Inklinasjon: 68,6°
Knutelengde: 270,2°
Perihelargument: 194,1°
Midlere anomali: 357,0°
Epoke: 2025 DEC 22 04:21:21
orbit plot

Ikke-interaktivt plott | Interaktivt plott

position vs time
speed and acceleration

Hagar (HGR) cam7


gnomonic
Videoer
• Gnomonisk
• Gnomonisk med koordinater
• Original
• Original med koordinater
Bilder
• Gnomonisk
• Gnomonisk med koordinater
• Original
• Original med koordinater
Tekstfiler
• Deteksjon
• Observasjon
• Koordinater
• Logg
Lysstyrke

Voksenlia (OSL) cam1


gnomonic
Videoer
• Gnomonisk
• Gnomonisk med koordinater
• Original
• Original med koordinater
Bilder
• Gnomonisk
• Gnomonisk med koordinater
• Original
• Original med koordinater
Tekstfiler
• Deteksjon
• Observasjon
• Koordinater
• Logg
Lysstyrke