🇳🇴 🇬🇧 🇩🇪 🇨🇿 🇫🇮

Meteor, poloha: Garphyttan 2025-12-22 04:27:14 UTC

Soubor KML  |  Interaktivní mapa

Mapa zobrazuje dráhy meteoru. Světlejší čáry ukazují směry od pozorovacích stanic při objevení se meteoru a tmavší čáry, kde byl naposledy viděn. Modrá šipka značí viditelnou dráhu meteoru.

static map
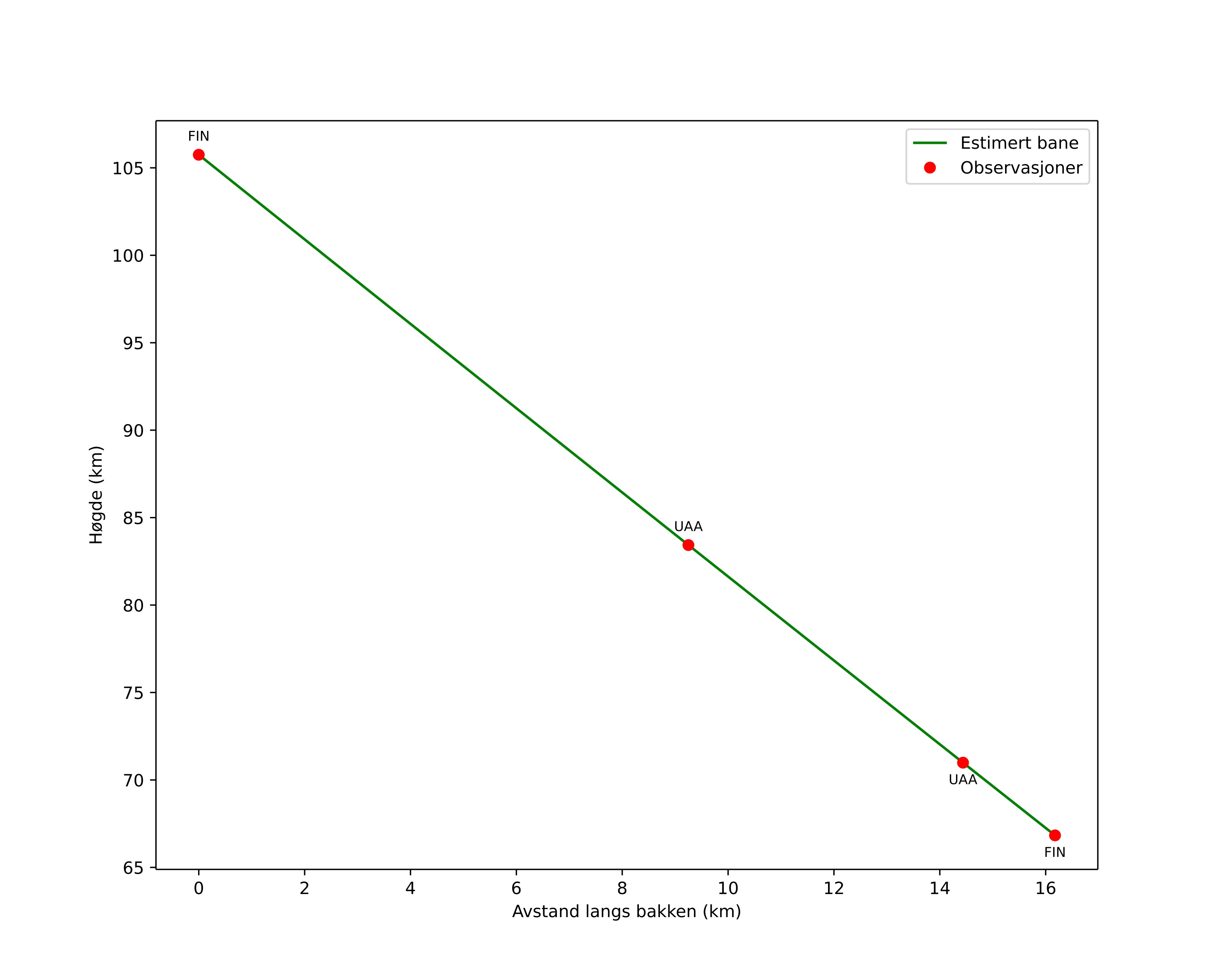
height profile
Atmosférická dráha meteoru:
Počáteční výška: 105,7 km
Konečná výška: 66,8 km
Počáteční poloha: 59,452N 15,097E
Konečná poloha: 59,321N 14,972E
Směr: 205,9°
Sklon: 67,4°
Vstupní rychlost: 36,8 km/s
Rektascenze radiantu: 14:31 (217,8°)
Deklinace radiantu: 76,6°
Meteorický roj: Ursidy
Elementy dráhy meteoroidu:
Vzdálenost v periheliu: 0,936 AU
Excentricita: 0,952
Sklon dráhy: 54,3°
Délka vzestupného uzlu: 270,2°
Argument perihelia: 205,8°
Střední anomálie: 359,8°
Epocha: 2025 DEC 22 04:27:14
orbit plot

Neinteraktivní graf | Interaktivní graf

position vs time
speed and acceleration