🇳🇴 🇬🇧 🇩🇪 🇨🇿 🇫🇮

Meteor over Spetalen 2025-12-22 05:11:12 UTC

KML-fil  |  Interaktivt kart

Kartet viser peilingene for meteoren. De lysere linjene viser retningene fra observasjonsstedene for meteorens tilsynekomst, og de mørkere linjene viser hvor den sist kunne sees. Den blå pila viser meteorens synlige ferd.

static map
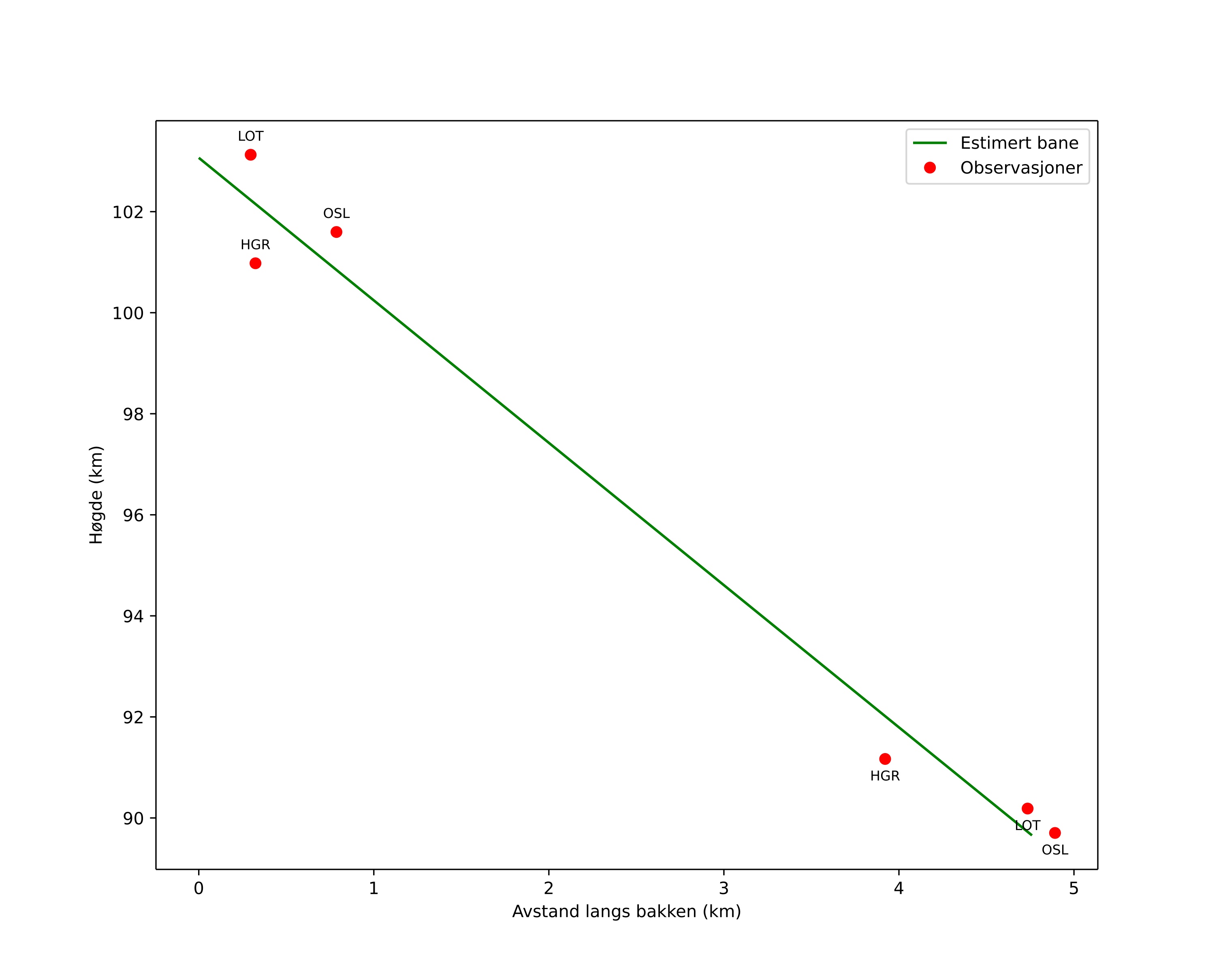
height profile
Meteorens atmosfæriske bane:
Starthøgde: 103,1 km
Slutthøgde: 89,7 km
Startposisjon: 60,328N 11,982E
Sluttposisjon: 60,291N 11,939E
Retning: 209,4°
Fallvinkel: 70,4°
Inngangshastighet: 35,7 km/s
Radiantens rektascensjon: 14:34 (218,6°)
Radiantens deklinasjon: 74,8°
Meteorsverm: Ursidene
Meteoroidens baneelement:
Perihelavstand: 0,941 AU
Eksentrisitet: 0,837
Inklinasjon: 54,0°
Knutelengde: 270,2°
Perihelargument: 205,2°
Midlere anomali: 358,7°
Epoke: 2025 DEC 22 05:11:12
orbit plot

Ikke-interaktivt plott | Interaktivt plott

position vs time
speed and acceleration

Hagar (HGR) cam6


gnomonic
Videoer
• Gnomonisk
• Gnomonisk med koordinater
• Original
• Original med koordinater
Bilder
• Gnomonisk
• Gnomonisk med koordinater
• Original
• Original med koordinater
Tekstfiler
• Deteksjon
• Observasjon
• Koordinater
• Logg
Lysstyrke

Loten (LOT) cam7


gnomonic
Videoer
• Gnomonisk
• Gnomonisk med koordinater
• Original
• Original med koordinater
Bilder
• Gnomonisk
• Gnomonisk med koordinater
• Original
• Original med koordinater
Tekstfiler
• Deteksjon
• Observasjon
• Koordinater
• Logg
Lysstyrke

Voksenlia (OSL) cam5


gnomonic
Videoer
• Gnomonisk
• Gnomonisk med koordinater
• Original
• Original med koordinater
Bilder
• Gnomonisk
• Gnomonisk med koordinater
• Original
• Original med koordinater
Tekstfiler
• Deteksjon
• Observasjon
• Koordinater
• Logg
Lysstyrke