🇳🇴 🇬🇧 🇩🇪 🇨🇿 🇫🇮

Meteor over Jaren 2025-12-22 17:14:08 UTC

KML-fil  |  Interaktivt kart

Kartet viser peilingene for meteoren. De lysere linjene viser retningene fra observasjonsstedene for meteorens tilsynekomst, og de mørkere linjene viser hvor den sist kunne sees. Den blå pila viser meteorens synlige ferd.

static map
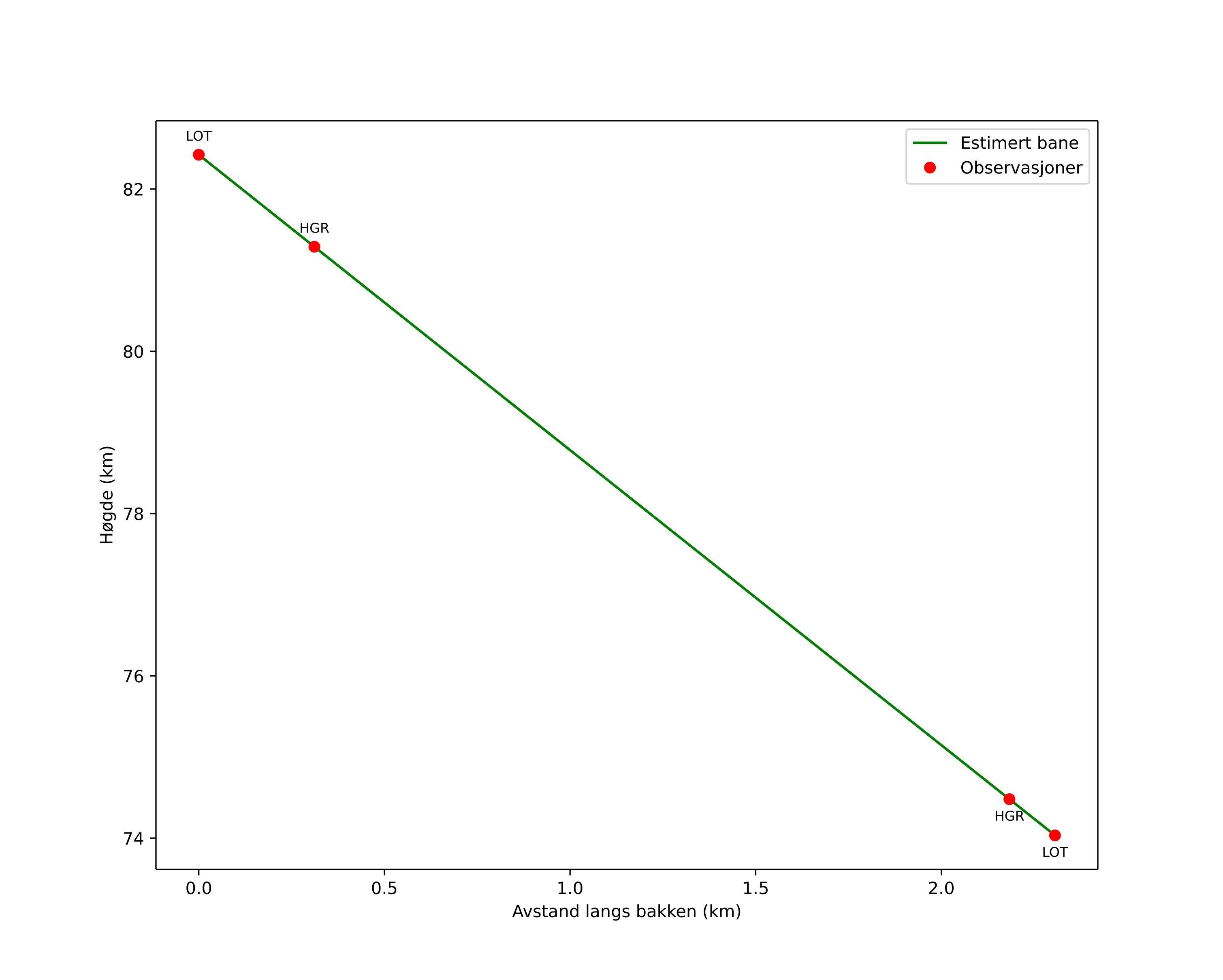
height profile
Meteorens atmosfæriske bane:
Starthøgde: 82,4 km
Slutthøgde: 74,0 km
Startposisjon: 60,424N 10,540E
Sluttposisjon: 60,409N 10,568E
Retning: 138,6°
Fallvinkel: 74,6°
Inngangshastighet: 20,6 km/s
Radiantens rektascensjon: 21:41 (325,4°)
Radiantens deklinasjon: 69,3°
Meteorsverm: sporadisk
Meteoroidens baneelement:
Perihelavstand: 0,975 AU
Eksentrisitet: 0,700
Inklinasjon: 24,8°
Knutelengde: 270,7°
Perihelargument: 191,8°
Midlere anomali: 358,5°
Epoke: 2025 DEC 22 17:14:08
orbit plot

Ikke-interaktivt plott | Interaktivt plott

position vs time
speed and acceleration

Hagar (HGR) cam6


gnomonic
Videoer
• Gnomonisk
• Gnomonisk med koordinater
• Original
• Original med koordinater
Bilder
• Gnomonisk
• Gnomonisk med koordinater
• Original
• Original med koordinater
Tekstfiler
• Deteksjon
• Observasjon
• Koordinater
• Logg
Lysstyrke

Loten (LOT) cam7


gnomonic
Videoer
• Gnomonisk
• Gnomonisk med koordinater
• Original
• Original med koordinater
Bilder
• Gnomonisk
• Gnomonisk med koordinater
• Original
• Original med koordinater
Tekstfiler
• Deteksjon
• Observasjon
• Koordinater
• Logg
Lysstyrke