🇳🇴 🇬🇧 🇩🇪 🇨🇿 🇫🇮

Meteor over Namsos 2025-12-23 04:18:50 UTC

KML-fil  |  Interaktivt kart

Kartet viser peilingene for meteoren. De lysere linjene viser retningene fra observasjonsstedene for meteorens tilsynekomst, og de mørkere linjene viser hvor den sist kunne sees. Den blå pila viser meteorens synlige ferd.

static map
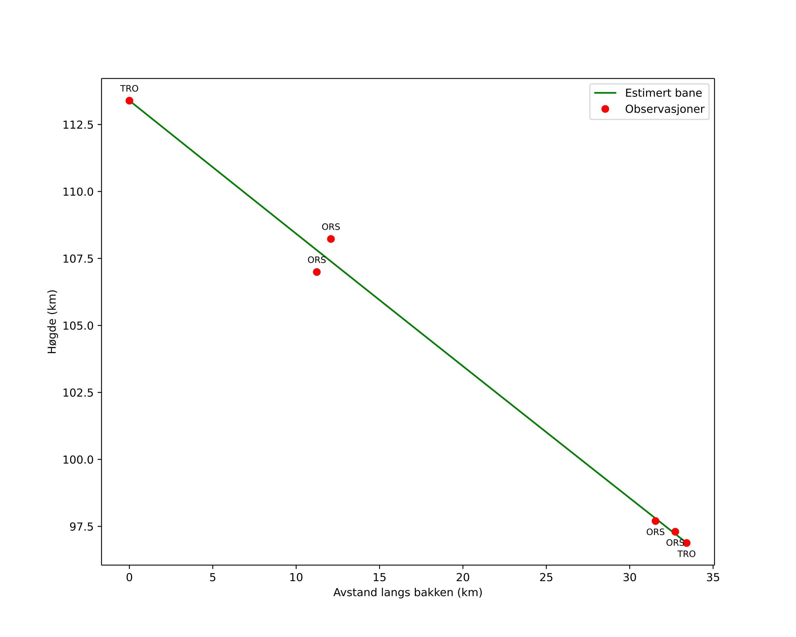
height profile
Meteorens atmosfæriske bane:
Starthøgde: 113,4 km
Slutthøgde: 96,9 km
Startposisjon: 64,308N 12,167E
Sluttposisjon: 64,515N 11,663E
Retning: 313,7°
Fallvinkel: 26,3°
Inngangshastighet: 66,4 km/s
Radiantens rektascensjon: 13:56 (209,2°)
Radiantens deklinasjon: 7,1°
Meteorsverm: sporadisk
Meteoroidens baneelement:
Perihelavstand: 0,629 AU
Eksentrisitet: 0,940
Inklinasjon: 143,3°
Knutelengde: 271,2°
Perihelargument: 104,9°
Midlere anomali: 1,1°
Epoke: 2025 DEC 23 04:18:50
orbit plot

Ikke-interaktivt plott | Interaktivt plott

position vs time
speed and acceleration

Orsta (ORS) cam1


gnomonic
Videoer
• Gnomonisk
• Gnomonisk med koordinater
• Original
• Original med koordinater
Bilder
• Gnomonisk
• Gnomonisk med koordinater
• Original
• Original med koordinater
Tekstfiler
• Deteksjon
• Observasjon
• Koordinater
• Logg
Lysstyrke

Orsta (ORS) cam5


gnomonic
Videoer
• Gnomonisk
• Gnomonisk med koordinater
• Original
• Original med koordinater
Bilder
• Gnomonisk
• Gnomonisk med koordinater
• Original
• Original med koordinater
Tekstfiler
• Deteksjon
• Observasjon
• Koordinater
• Logg
Lysstyrke

Trondheim (TRO) cam1


gnomonic
Videoer
• Gnomonisk
• Gnomonisk med koordinater
• Original
• Original med koordinater
Bilder
• Gnomonisk
• Gnomonisk med koordinater
• Original
• Original med koordinater
Tekstfiler
• Deteksjon
• Observasjon
• Koordinater
• Logg
Lysstyrke