🇳🇴 🇬🇧 🇩🇪 🇨🇿 🇫🇮

Meteor over Arjeplog 2025-12-23 17:26:11 UTC

KML-fil  |  Interaktivt kart

Kartet viser peilingene for meteoren. De lysere linjene viser retningene fra observasjonsstedene for meteorens tilsynekomst, og de mørkere linjene viser hvor den sist kunne sees. Den blå pila viser meteorens synlige ferd.

static map
height profile
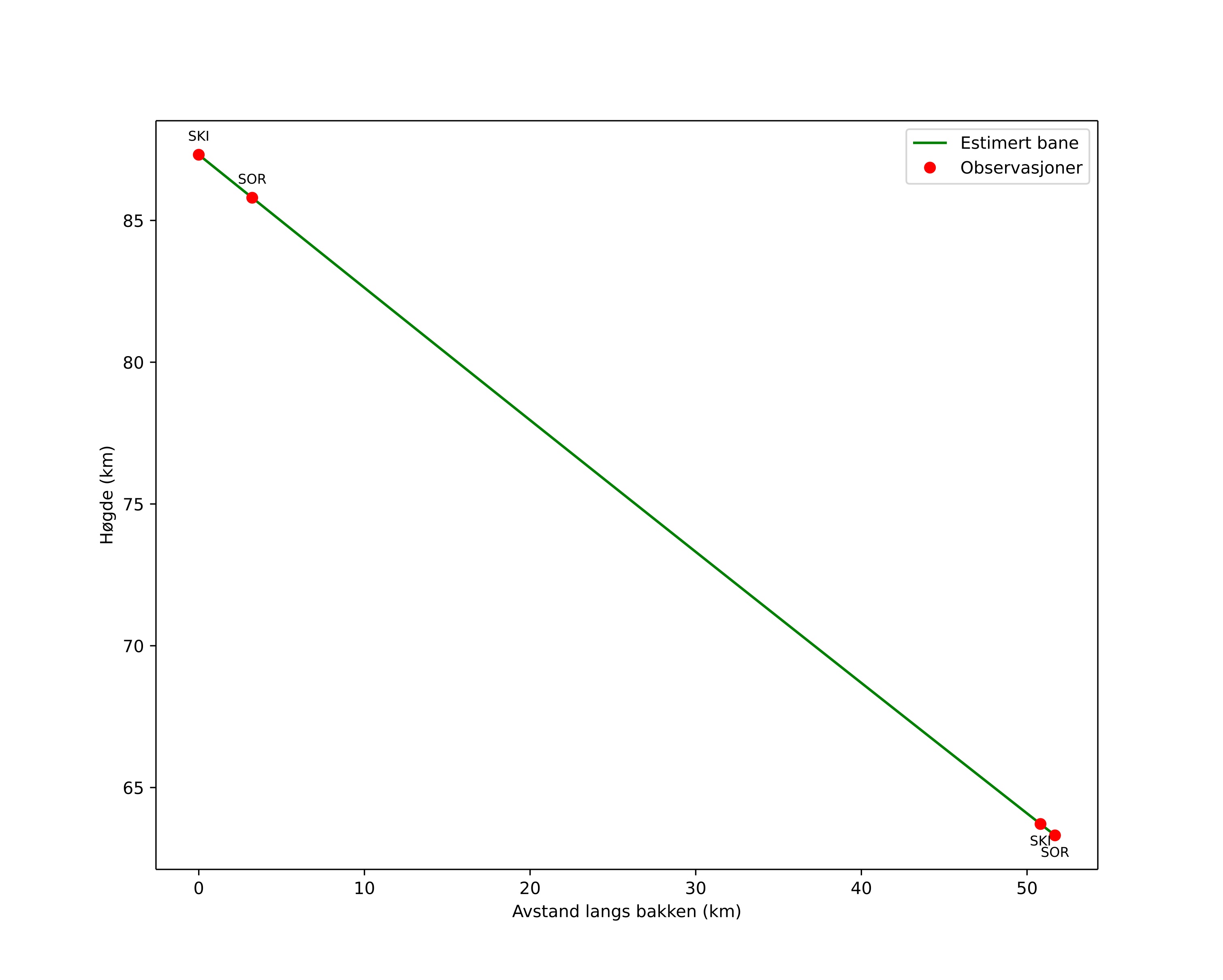
Meteorens atmosfæriske bane:
Starthøgde: 87,3 km
Slutthøgde: 63,3 km
Startposisjon: 66,693N 19,628E
Sluttposisjon: 66,614N 18,472E
Retning: 260,7°
Fallvinkel: 24,9°
Inngangshastighet: 29,7 km/s
Radiantens rektascensjon: 06:49 (102,4°)
Radiantens deklinasjon: 24,1°
Meteorsverm: sporadisk
Meteoroidens baneelement:
Perihelavstand: 0,399 AU
Eksentrisitet: 0,817
Inklinasjon: 1,2°
Knutelengde: 271,6°
Perihelargument: 289,0°
Midlere anomali: 346,8°
Epoke: 2025 DEC 23 17:26:11
orbit plot

Ikke-interaktivt plott | Interaktivt plott

position vs time
speed and acceleration

Skibotn (SKI) cam4


gnomonic
Videoer
• Gnomonisk
• Gnomonisk med koordinater
• Original
• Original med koordinater
Bilder
• Gnomonisk
• Gnomonisk med koordinater
• Original
• Original med koordinater
Tekstfiler
• Deteksjon
• Observasjon
• Koordinater
• Logg
Lysstyrke

Sorreisa (SOR) cam3


gnomonic
Videoer
• Gnomonisk
• Gnomonisk med koordinater
• Original
• Original med koordinater
Bilder
• Gnomonisk
• Gnomonisk med koordinater
• Original
• Original med koordinater
Tekstfiler
• Deteksjon
• Observasjon
• Koordinater
• Logg
Lysstyrke