🇳🇴 🇬🇧 🇩🇪 🇨🇿 🇫🇮

Meteor over Koppang 2025-12-24 00:11:38 UTC

KML-fil  |  Interaktivt kart

Kartet viser peilingene for meteoren. De lysere linjene viser retningene fra observasjonsstedene for meteorens tilsynekomst, og de mørkere linjene viser hvor den sist kunne sees. Den blå pila viser meteorens synlige ferd.

static map
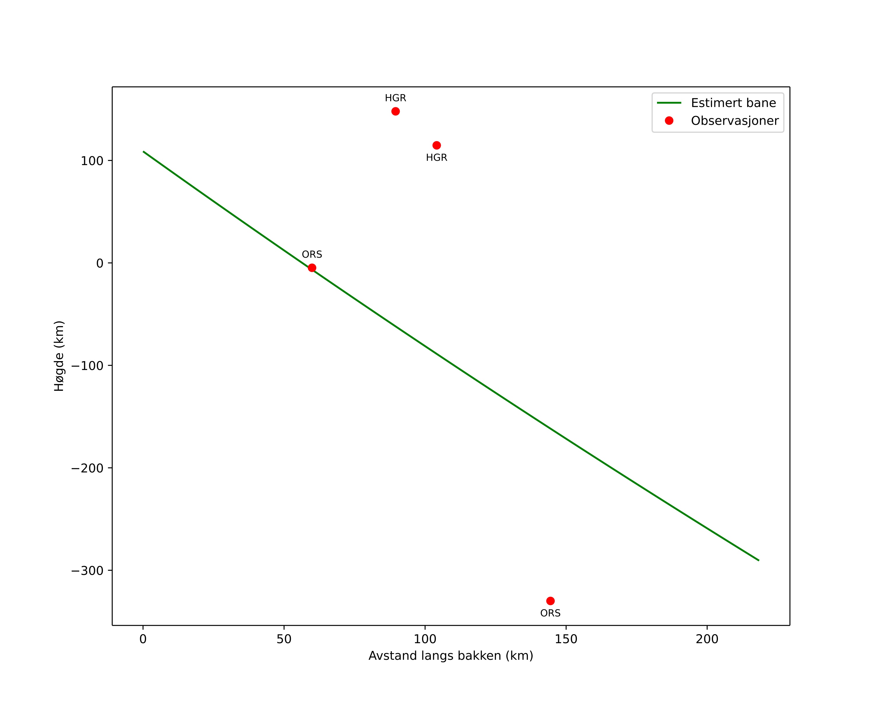
height profile
Meteorens atmosfæriske bane:
Starthøgde: 108,9 km
Slutthøgde: -290,6 km
Startposisjon: 62,335N 7,385E
Sluttposisjon: 61,284N 10,899E
Retning: 120,8°
Fallvinkel: 61,3°
Inngangshastighet: 31,9 km/s
Radiantens rektascensjon: 02:21 (35,3°)
Radiantens deklinasjon: 62,0°
Meteorsverm: sporadisk
Meteoroidens baneelement:
Perihelavstand: 0,889 AU
Eksentrisitet: 1,751
Inklinasjon: 26,4°
Knutelengde: 272,1°
Perihelargument: 212,0°
Midlere anomali: -13,4°
Epoke: 2025 DEC 24 00:11:38
orbit plot

Ikke-interaktivt plott | Interaktivt plott

position vs time
speed and acceleration

Hagar (HGR) cam2


gnomonic
Videoer
• Gnomonisk
• Gnomonisk med koordinater
• Original
• Original med koordinater
Bilder
• Gnomonisk
• Gnomonisk med koordinater
• Original
• Original med koordinater
Tekstfiler
• Deteksjon
• Observasjon
• Koordinater
• Logg
Lysstyrke

Orsta (ORS) cam7


gnomonic
Videoer
• Gnomonisk
• Gnomonisk med koordinater
• Original
• Original med koordinater
Bilder
• Gnomonisk
• Gnomonisk med koordinater
• Original
• Original med koordinater
Tekstfiler
• Deteksjon
• Observasjon
• Koordinater
• Logg
Lysstyrke