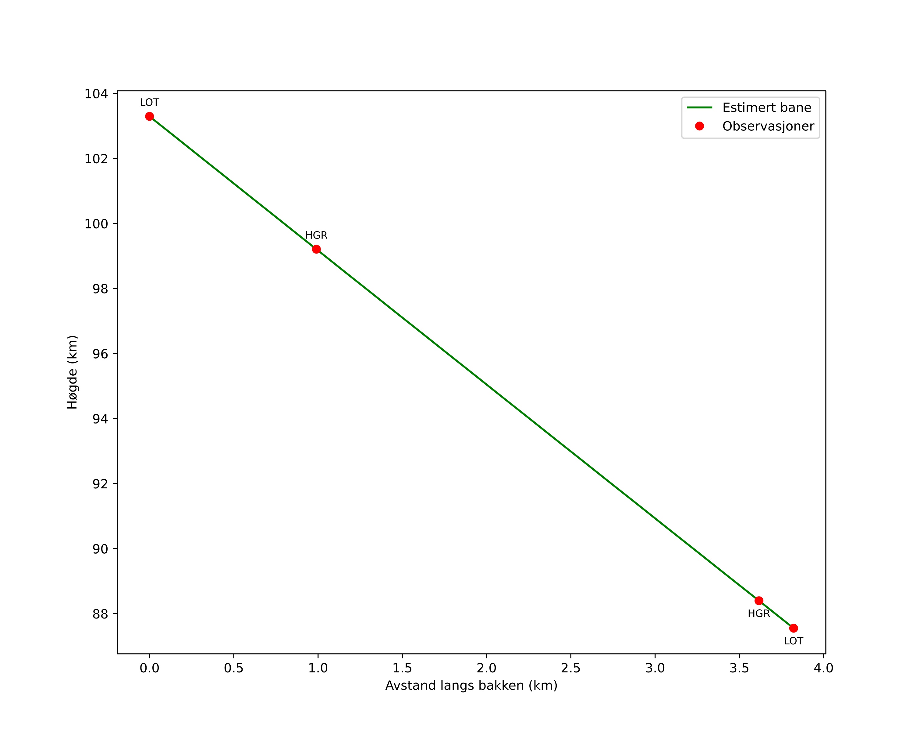
Atmosférická dráha meteoru:
| Počátečnà výška: | 103,3 km |
| Konečná výška: | 87,6 km |
| Počátečnà poloha: | 59,905N 13,803E |
| Konečná poloha: | 59,915N 13,737E |
| Směr: | 286,8° |
| Sklon: | 76,3° |
| VstupnĂ rychlost: | 46,4 km/s |
| Rektascenze radiantu: | 09:10 (137,7°) |
| Deklinace radiantu: | 53,7° |
| MeteorickĂ˝ roj: | sporadickĂ˝ |
|
Elementy dráhy meteoroidu:
| Vzdálenost v periheliu: | 0,445 AU |
| Excentricita: | 1,008 |
| Sklon dráhy: | 65,8° |
| Délka vzestupného uzlu: | 272,1° |
| Argument perihelia: | 275,3° |
| Střednà anomálie: | -0,1° |
| Epocha: | 2025 DEC 24 00:37:40 |
|