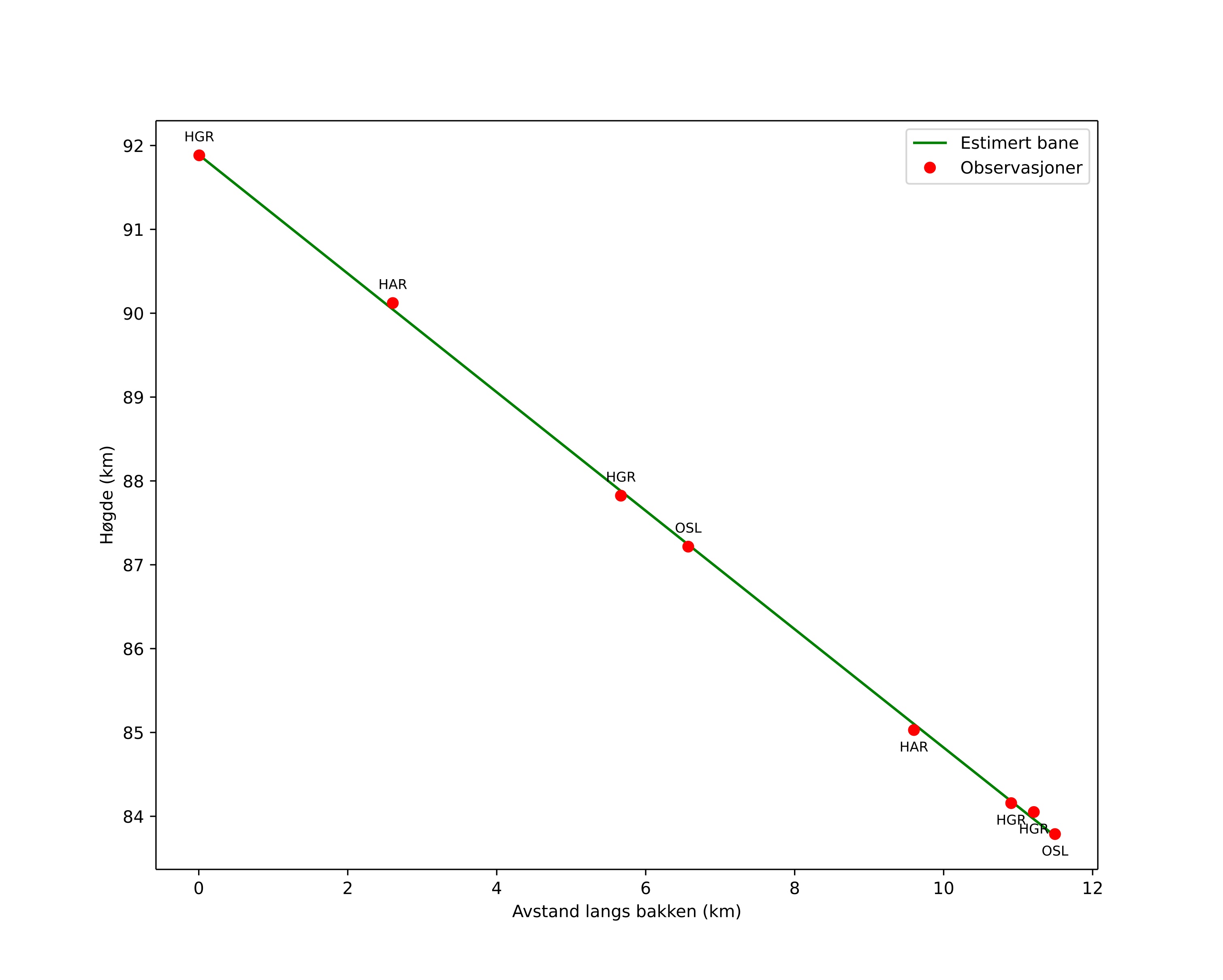
Atmosférická dráha meteoru:
| Počátečnà výška: | 91,9 km |
| Konečná výška: | 83,8 km |
| Počátečnà poloha: | 59,772N 9,845E |
| Konečná poloha: | 59,778N 10,050E |
| Směr: | 86,7° |
| Sklon: | 35,2° |
| VstupnĂ rychlost: | 18,2 km/s |
| Rektascenze radiantu: | 05:12 (78,1°) |
| Deklinace radiantu: | 22,3° |
| MeteorickĂ˝ roj: | sporadickĂ˝ |
|
Elementy dráhy meteoroidu:
| Vzdálenost v periheliu: | 0,774 AU |
| Excentricita: | 0,595 |
| Sklon dráhy: | 0,3° |
| Délka vzestupného uzlu: | 92,9° |
| Argument perihelia: | 63,9° |
| Střednà anomálie: | 344,4° |
| Epocha: | 2025 DEC 24 03:12:33 |
|