🇳🇴 🇬🇧 🇩🇪 🇨🇿 🇫🇮

Meteor over Ringebu 2025-12-24 04:20:44 UTC

KML-fil  |  Interaktivt kart

Kartet viser peilingene for meteoren. De lysere linjene viser retningene fra observasjonsstedene for meteorens tilsynekomst, og de mørkere linjene viser hvor den sist kunne sees. Den blå pila viser meteorens synlige ferd.

static map
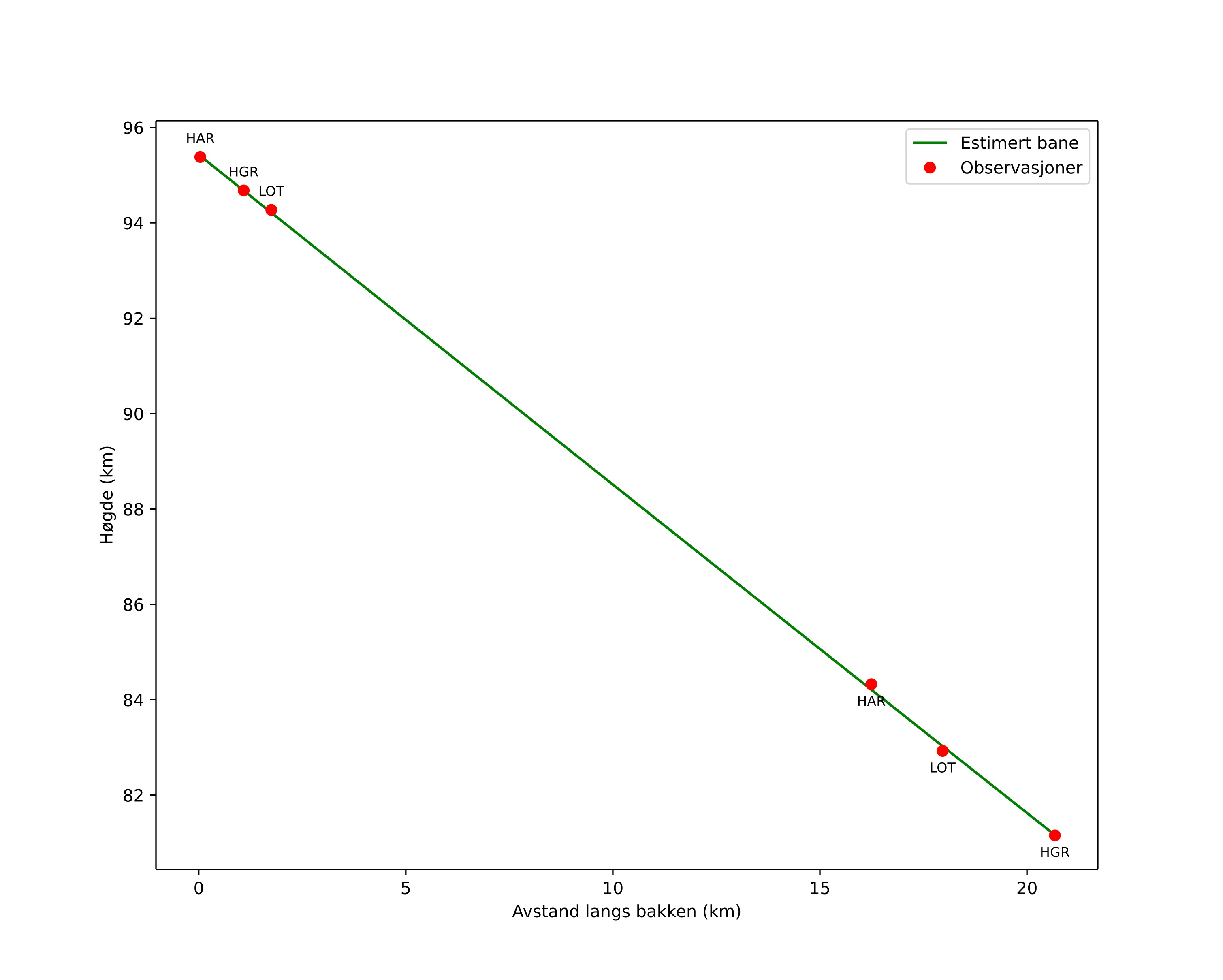
height profile
Meteorens atmosfæriske bane:
Starthøgde: 95,4 km
Slutthøgde: 81,2 km
Startposisjon: 61,651N 10,087E
Sluttposisjon: 61,642N 10,478E
Retning: 92,7°
Fallvinkel: 34,5°
Inngangshastighet: 26,7 km/s
Radiantens rektascensjon: 06:07 (91,8°)
Radiantens deklinasjon: 28,5°
Meteorsverm: sporadisk
Meteoroidens baneelement:
Perihelavstand: 0,559 AU
Eksentrisitet: 0,833
Inklinasjon: 4,0°
Knutelengde: 272,2°
Perihelargument: 267,2°
Midlere anomali: 353,3°
Epoke: 2025 DEC 24 04:20:44
orbit plot

Ikke-interaktivt plott | Interaktivt plott

position vs time
speed and acceleration

Hagar (HGR) cam2


gnomonic
Videoer
• Gnomonisk
• Gnomonisk med koordinater
• Original
• Original med koordinater
Bilder
• Gnomonisk
• Gnomonisk med koordinater
• Original
• Original med koordinater
Tekstfiler
• Deteksjon
• Observasjon
• Koordinater
• Logg
Lysstyrke

Harestua (HAR) cam1


gnomonic
Videoer
• Gnomonisk
• Gnomonisk med koordinater
• Original
• Original med koordinater
Bilder
• Gnomonisk
• Gnomonisk med koordinater
• Original
• Original med koordinater
Tekstfiler
• Deteksjon
• Observasjon
• Koordinater
• Logg
Lysstyrke

Loten (LOT) cam6


gnomonic
Videoer
• Gnomonisk
• Gnomonisk med koordinater
• Original
• Original med koordinater
Bilder
• Gnomonisk
• Gnomonisk med koordinater
• Original
• Original med koordinater
Tekstfiler
• Deteksjon
• Observasjon
• Koordinater
• Logg
Lysstyrke