Meteorens atmosfæriske bane:
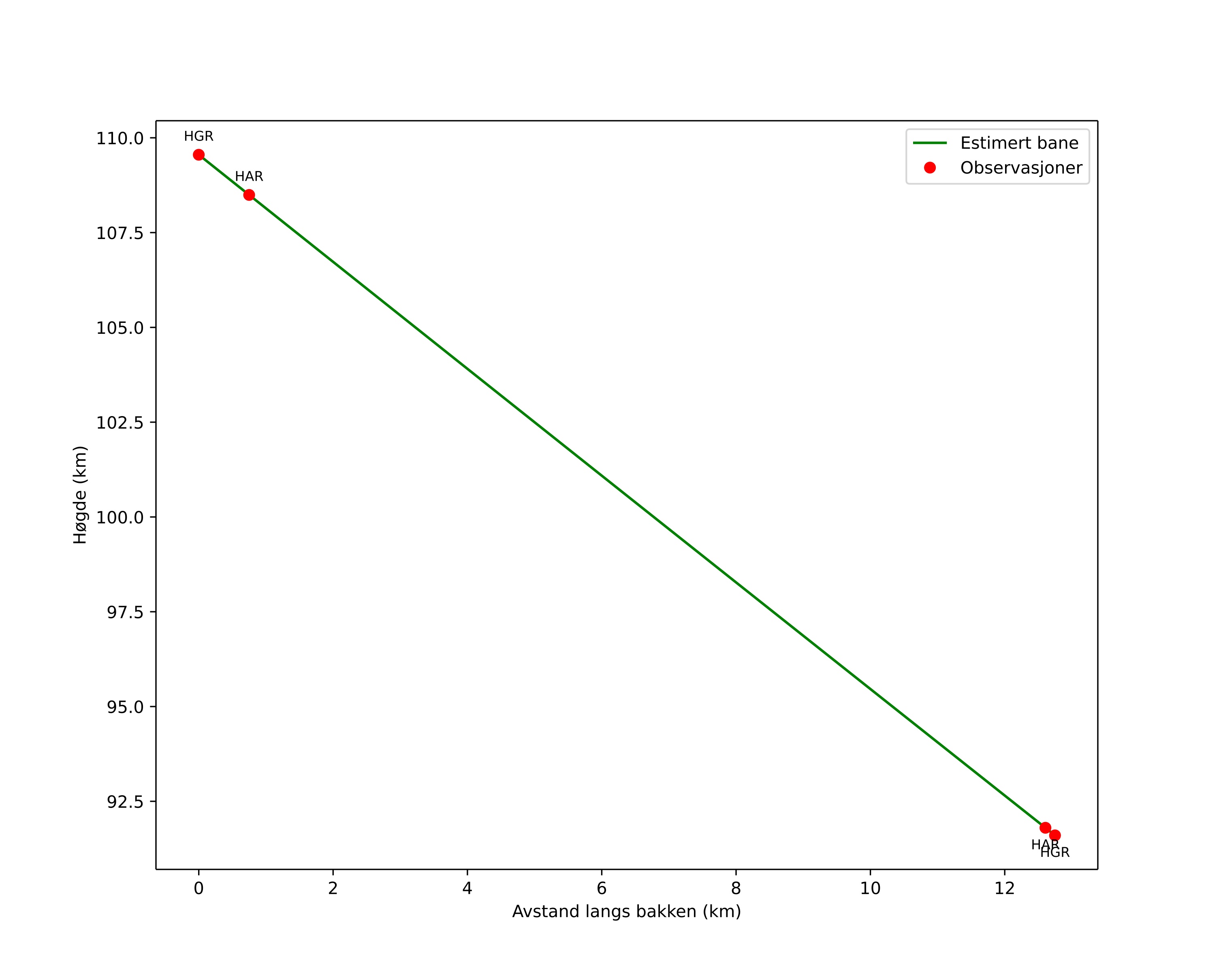
| Starthøgde: | 109,6 km |
| Slutthøgde: | 91,6 km |
| Startposisjon: | 61,560N 11,637E |
| Sluttposisjon: | 61,642N 11,807E |
| Retning: | 44,7° |
| Fallvinkel: | 54,7° |
| Inngangshastighet: | 62,7 km/s |
| Radiantens rektascensjon: | 11:04 (166,1°) |
| Radiantens deklinasjon: | 31,2° |
| Meteorsverm: | desember-leonis-minoridene |
|
Meteoroidens baneelement:
| Perihelavstand: | 0,560 AU |
| Eksentrisitet: | 0,932 |
| Inklinasjon: | 129,5° |
| Knutelengde: | 272,3° |
| Perihelargument: | 263,9° |
| Midlere anomali: | 358,4° |
| Epoke: | 2025 DEC 24 06:02:37 |
|