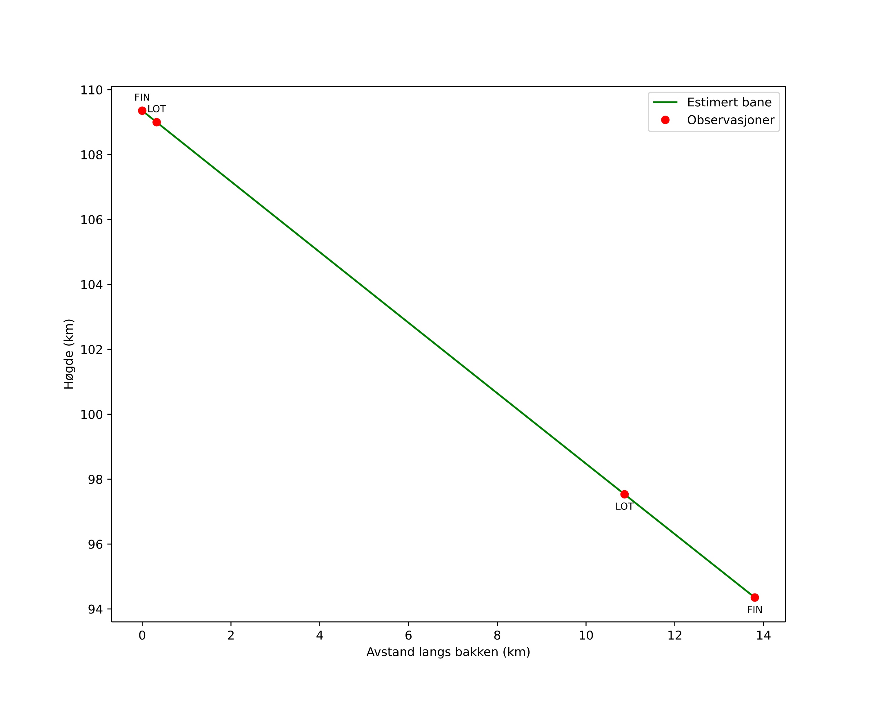
Atmosphärische Bahn des Meteors:
| Anfangshöhe: | 109,4 km |
| Endhöhe: | 94,4 km |
| Startposition: | 61,360N 13,523E |
| Endposition: | 61,423N 13,299E |
| Richtung: | 300,5° |
| Neigungswinkel: | 47,4° |
| Eintrittsgeschwindigkeit: | 72,7 km/s |
| Rektaszension des Radianten: | 11:04 (166,0°) |
| Deklination des Radianten: | 28,6° |
| Meteorstrom: | desember-leonis-minoridene |
|
Bahnelemente des Meteoroiden:
| Periheldistanz: | 0,640 AU |
| Exzentrizität: | 1,497 |
| Inklination: | 138,3° |
| Länge des aufsteigenden Knotens: | 274,1° |
| Argument des Perihels: | 245,3° |
| Mittlere Anomalie: | -19,7° |
| Epoche: | 2025 DEC 26 01:06:05 |
|