🇳🇴 🇬🇧 🇩🇪 🇨🇿 🇫🇮

Meteor over Malung 2025-12-26 01:25:39 UTC

KML-fil  |  Interaktivt kart

Kartet viser peilingene for meteoren. De lysere linjene viser retningene fra observasjonsstedene for meteorens tilsynekomst, og de mørkere linjene viser hvor den sist kunne sees. Den blå pila viser meteorens synlige ferd.

static map
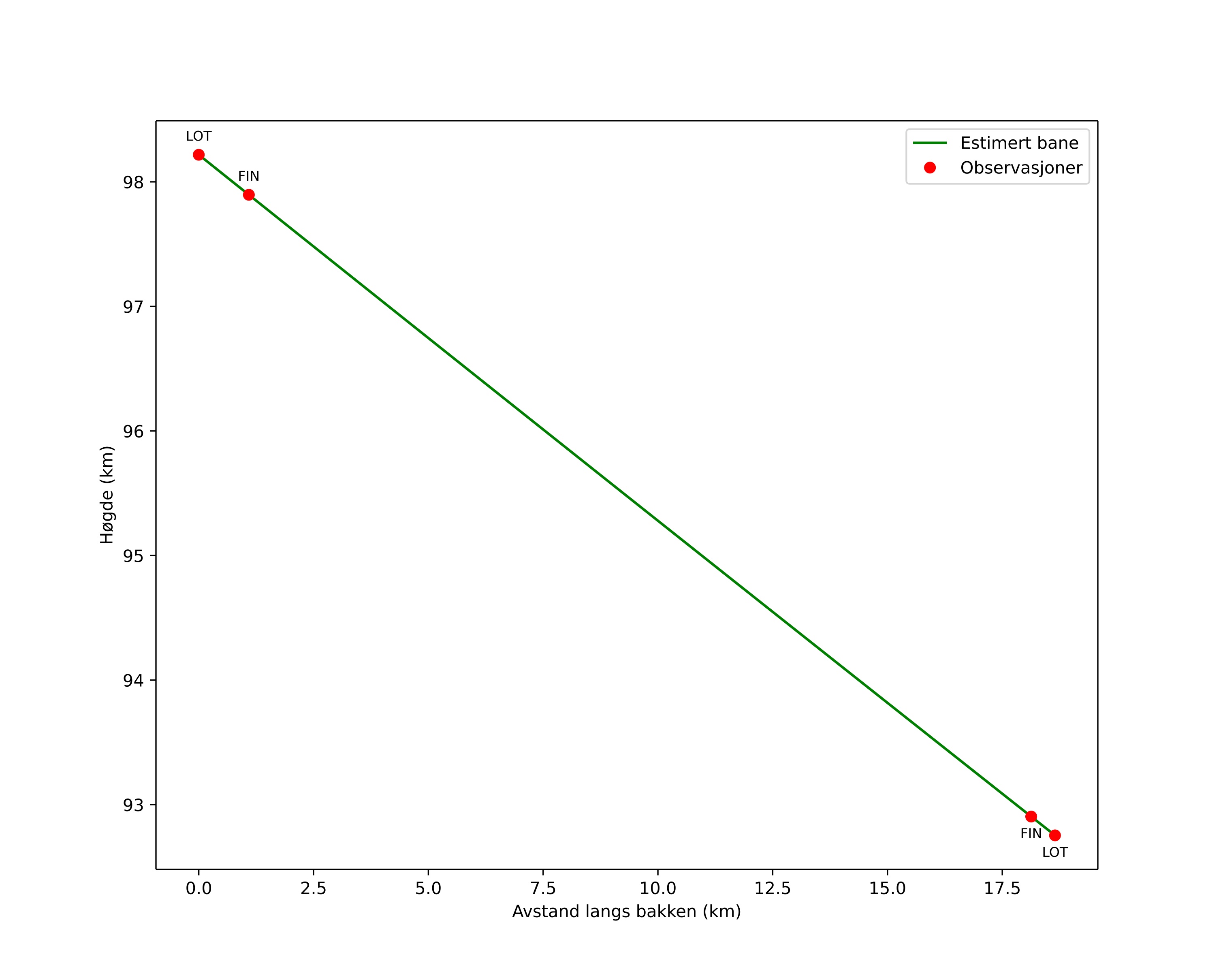
height profile
Meteorens atmosfæriske bane:
Starthøgde: 98,2 km
Slutthøgde: 92,8 km
Startposisjon: 60,905N 14,063E
Sluttposisjon: 60,944N 13,727E
Retning: 283,5°
Fallvinkel: 16,1°
Inngangshastighet: 67,7 km/s
Radiantens rektascensjon: 13:22 (200,6°)
Radiantens deklinasjon: 7,3°
Meteorsverm: sporadisk
Meteoroidens baneelement:
Perihelavstand: 0,851 AU
Eksentrisitet: 0,743
Inklinasjon: 152,5°
Knutelengde: 274,2°
Perihelargument: 133,1°
Midlere anomali: 5,1°
Epoke: 2025 DEC 26 01:25:39
orbit plot

Ikke-interaktivt plott | Interaktivt plott

position vs time
speed and acceleration

Finnskogen (FIN) cam7


gnomonic
Videoer
• Gnomonisk
• Gnomonisk med koordinater
• Original
• Original med koordinater
Bilder
• Gnomonisk
• Gnomonisk med koordinater
• Original
• Original med koordinater
Tekstfiler
• Deteksjon
• Observasjon
• Koordinater
• Logg
Lysstyrke

Loten (LOT) cam2


gnomonic
Videoer
• Gnomonisk
• Gnomonisk med koordinater
• Original
• Original med koordinater
Bilder
• Gnomonisk
• Gnomonisk med koordinater
• Original
• Original med koordinater
Tekstfiler
• Deteksjon
• Observasjon
• Koordinater
• Logg
Lysstyrke