🇳🇴 🇬🇧 🇩🇪 🇨🇿 🇫🇮

Meteor over Torsby 2025-12-26 01:44:13 UTC

KML-fil  |  Interaktivt kart

Kartet viser peilingene for meteoren. De lysere linjene viser retningene fra observasjonsstedene for meteorens tilsynekomst, og de mørkere linjene viser hvor den sist kunne sees. Den blå pila viser meteorens synlige ferd.

static map
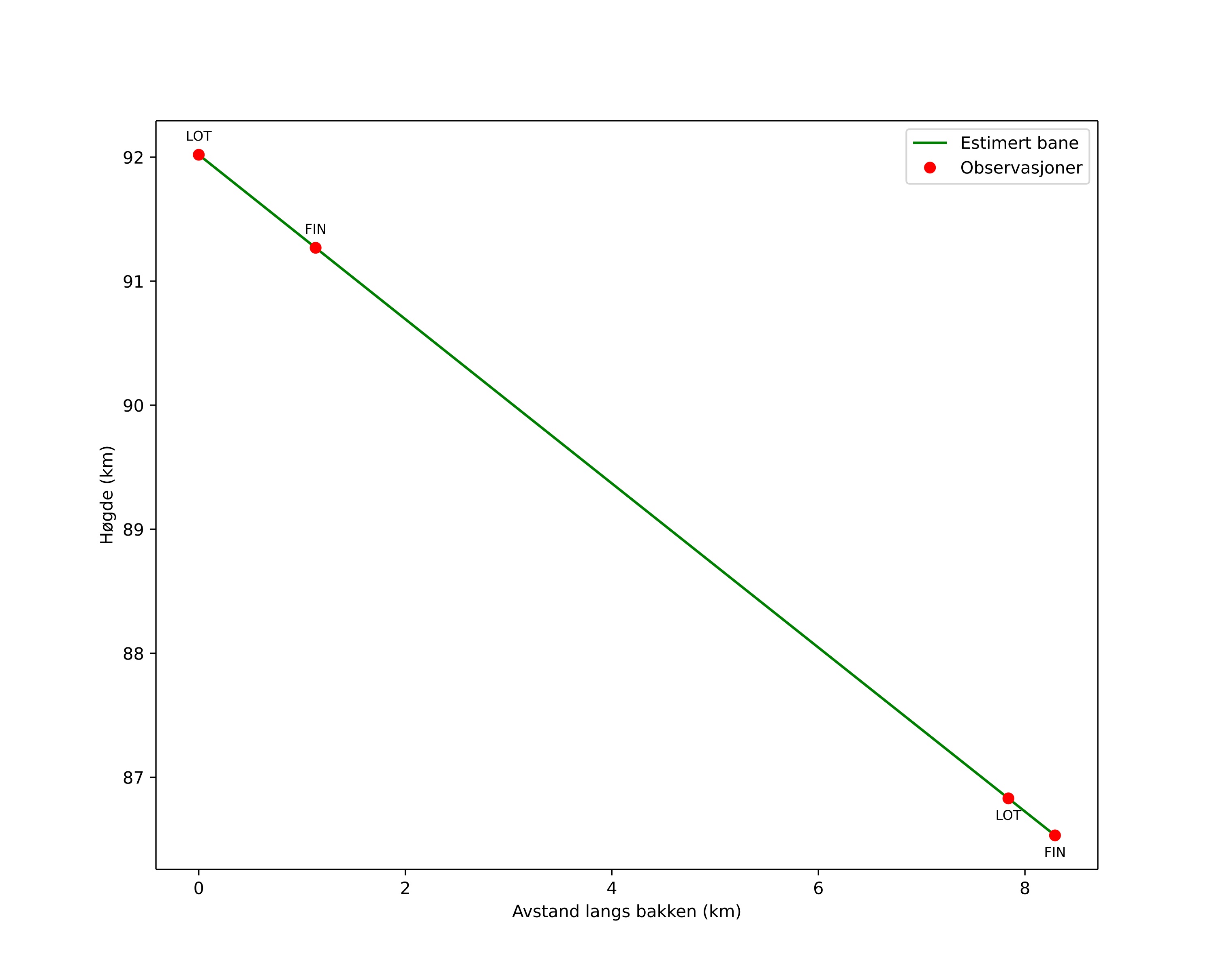
height profile
Meteorens atmosfæriske bane:
Starthøgde: 92,0 km
Slutthøgde: 86,5 km
Startposisjon: 60,167N 13,277E
Sluttposisjon: 60,104N 13,197E
Retning: 212,1°
Fallvinkel: 33,6°
Inngangshastighet: 31,9 km/s
Radiantens rektascensjon: 17:33 (263,3°)
Radiantens deklinasjon: 54,7°
Meteorsverm: sporadisk
Meteoroidens baneelement:
Perihelavstand: 0,962 AU
Eksentrisitet: 0,840
Inklinasjon: 46,3°
Knutelengde: 274,2°
Perihelargument: 162,2°
Midlere anomali: 0,9°
Epoke: 2025 DEC 26 01:44:13
orbit plot

Ikke-interaktivt plott | Interaktivt plott

position vs time
speed and acceleration

Finnskogen (FIN) cam3


gnomonic
Videoer
• Gnomonisk
• Gnomonisk med koordinater
• Original
• Original med koordinater
Bilder
• Gnomonisk
• Gnomonisk med koordinater
• Original
• Original med koordinater
Tekstfiler
• Deteksjon
• Observasjon
• Koordinater
• Logg
Lysstyrke

Loten (LOT) cam3


gnomonic
Videoer
• Gnomonisk
• Gnomonisk med koordinater
• Original
• Original med koordinater
Bilder
• Gnomonisk
• Gnomonisk med koordinater
• Original
• Original med koordinater
Tekstfiler
• Deteksjon
• Observasjon
• Koordinater
• Logg
Lysstyrke