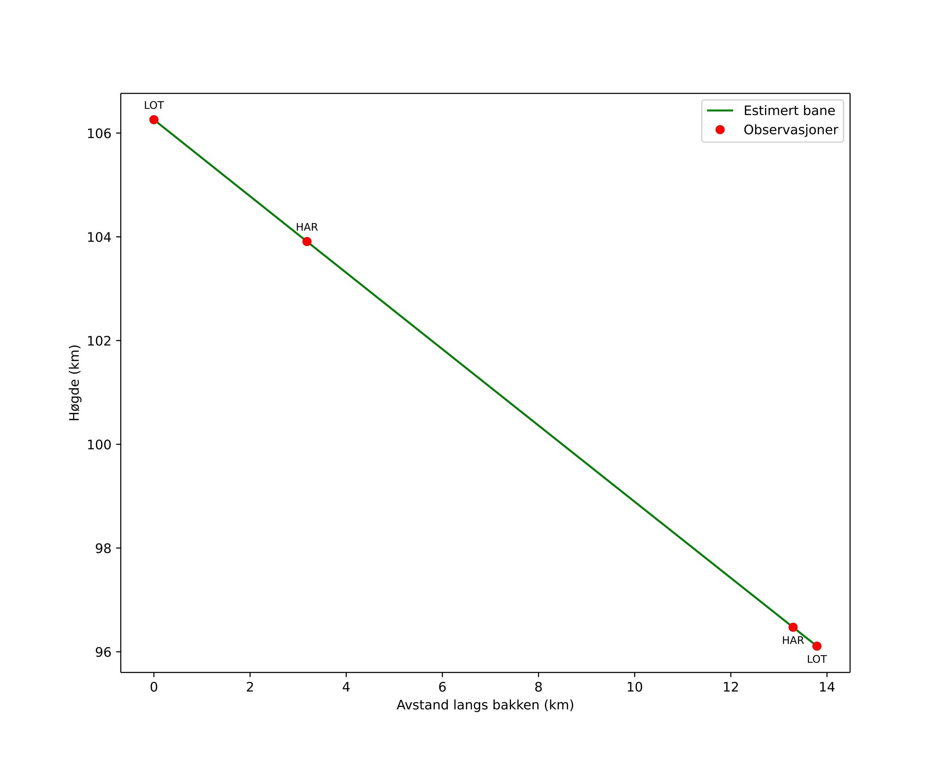
Atmosférická dráha meteoru:
| Počátečnà výška: | 106,3 km |
| Konečná výška: | 96,1 km |
| Počátečnà poloha: | 59,515N 12,344E |
| Konečná poloha: | 59,486N 12,107E |
| Směr: | 256,6° |
| Sklon: | 36,5° |
| VstupnĂ rychlost: | 49,0 km/s |
| Rektascenze radiantu: | 15:46 (236,7°) |
| Deklinace radiantu: | 37,0° |
| MeteorickĂ˝ roj: | sporadickĂ˝ |
|
Elementy dráhy meteoroidu:
| Vzdálenost v periheliu: | 0,847 AU |
| Excentricita: | 1,031 |
| Sklon dráhy: | 78,1° |
| Délka vzestupného uzlu: | 274,2° |
| Argument perihelia: | 136,6° |
| Střednà anomálie: | 0,2° |
| Epocha: | 2025 DEC 26 03:18:20 |
|