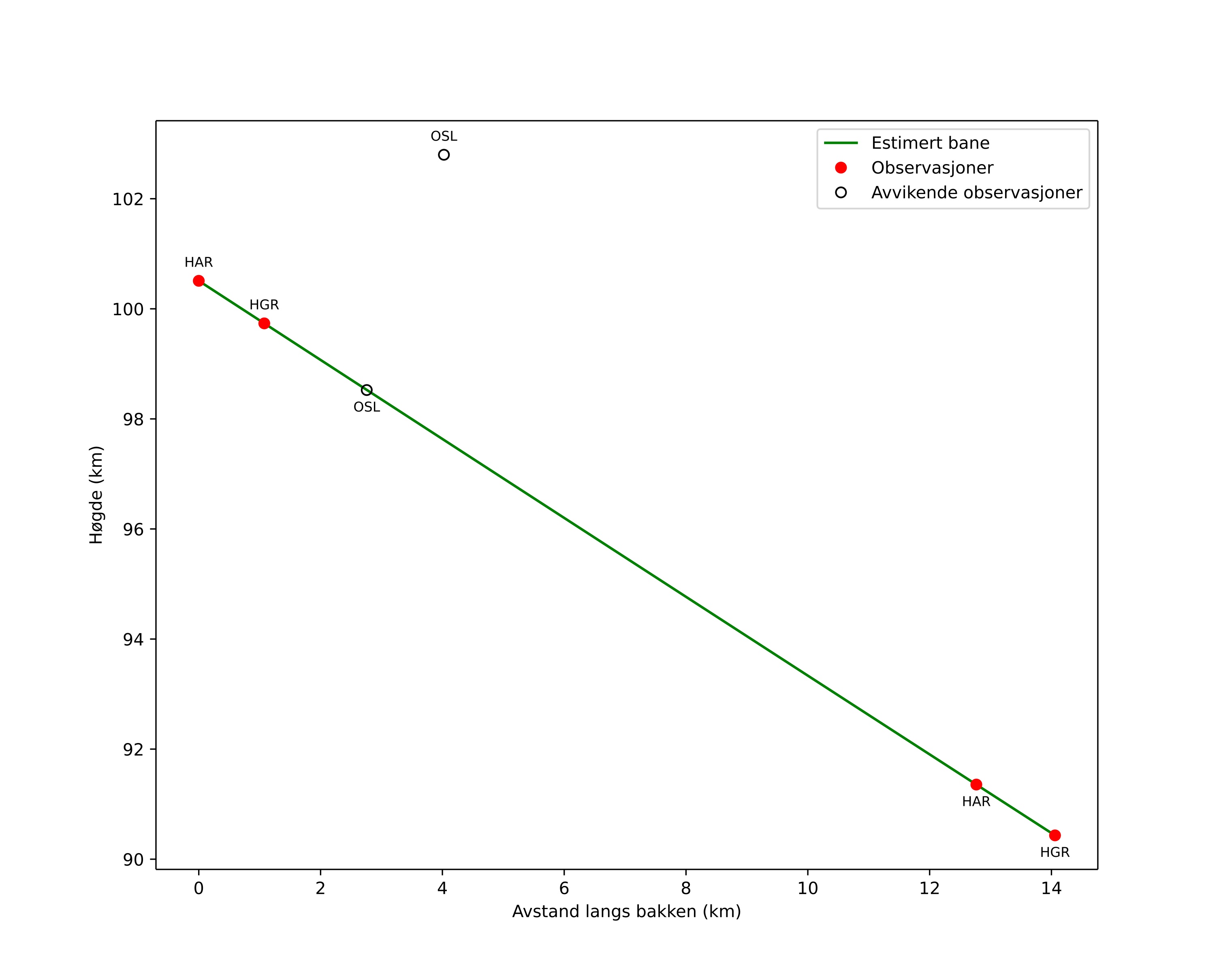
Atmosférická dráha meteoru:
| Počátečnà výška: | 100,5 km |
| Konečná výška: | 90,4 km |
| Počátečnà poloha: | 59,772N 11,600E |
| Konečná poloha: | 59,808N 11,359E |
| Směr: | 286,7° |
| Sklon: | 35,7° |
| VstupnĂ rychlost: | 73,0 km/s |
| Rektascenze radiantu: | 13:45 (206,5°) |
| Deklinace radiantu: | 22,6° |
| MeteorickĂ˝ roj: | sporadickĂ˝ |
|
Elementy dráhy meteoroidu:
| Vzdálenost v periheliu: | 0,947 AU |
| Excentricita: | 1,654 |
| Sklon dráhy: | 129,3° |
| Délka vzestupného uzlu: | 275,2° |
| Argument perihelia: | 160,0° |
| Střednà anomálie: | 6,7° |
| Epocha: | 2025 DEC 27 02:47:37 |
|