🇳🇴 🇬🇧 🇩🇪 🇨🇿 🇫🇮

Meteor over Munkedal 2025-12-28 01:47:49 UTC

KML-fil  |  Interaktivt kart

Kartet viser peilingene for meteoren. De lysere linjene viser retningene fra observasjonsstedene for meteorens tilsynekomst, og de mørkere linjene viser hvor den sist kunne sees. Den blå pila viser meteorens synlige ferd.

static map
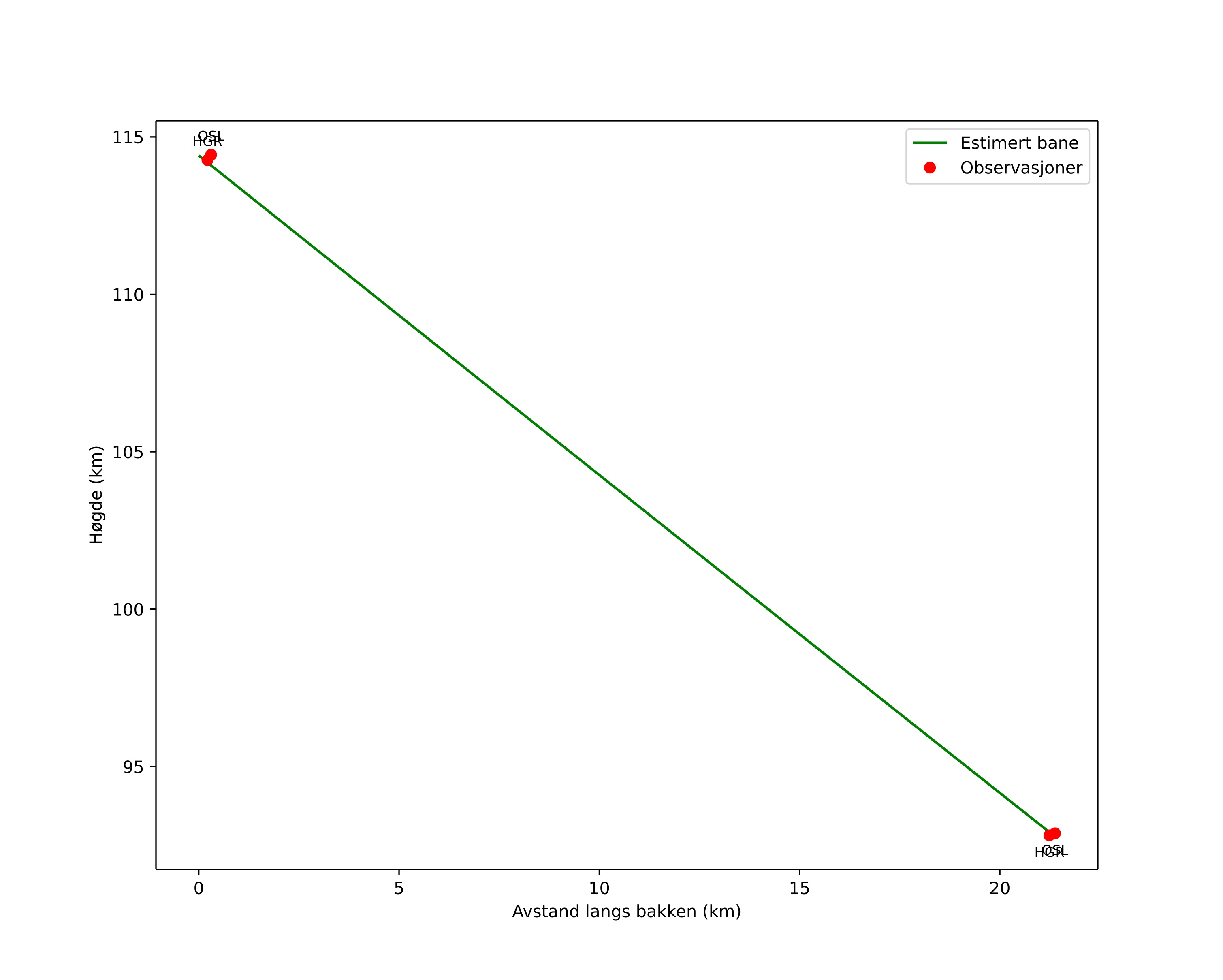
height profile
Meteorens atmosfæriske bane:
Starthøgde: 114,4 km
Slutthøgde: 92,8 km
Startposisjon: 58,283N 11,858E
Sluttposisjon: 58,433N 11,629E
Retning: 321,3°
Fallvinkel: 45,4°
Inngangshastighet: 80,7 km/s
Radiantens rektascensjon: 10:50 (162,7°)
Radiantens deklinasjon: 18,4°
Meteorsverm: sporadisk
Meteoroidens baneelement:
Perihelavstand: 0,619 AU
Eksentrisitet: 1,931
Inklinasjon: 159,8°
Knutelengde: 276,2°
Perihelargument: 244,1°
Midlere anomali: -46,9°
Epoke: 2025 DEC 28 01:47:49
orbit plot

Ikke-interaktivt plott | Interaktivt plott

position vs time
speed and acceleration

Hagar (HGR) cam4


gnomonic
Videoer
• Gnomonisk
• Gnomonisk med koordinater
• Original
• Original med koordinater
Bilder
• Gnomonisk
• Gnomonisk med koordinater
• Original
• Original med koordinater
Tekstfiler
• Deteksjon
• Observasjon
• Koordinater
• Logg
Lysstyrke

Voksenlia (OSL) cam4


gnomonic
Videoer
• Gnomonisk
• Gnomonisk med koordinater
• Original
• Original med koordinater
Bilder
• Gnomonisk
• Gnomonisk med koordinater
• Original
• Original med koordinater
Tekstfiler
• Deteksjon
• Observasjon
• Koordinater
• Logg
Lysstyrke