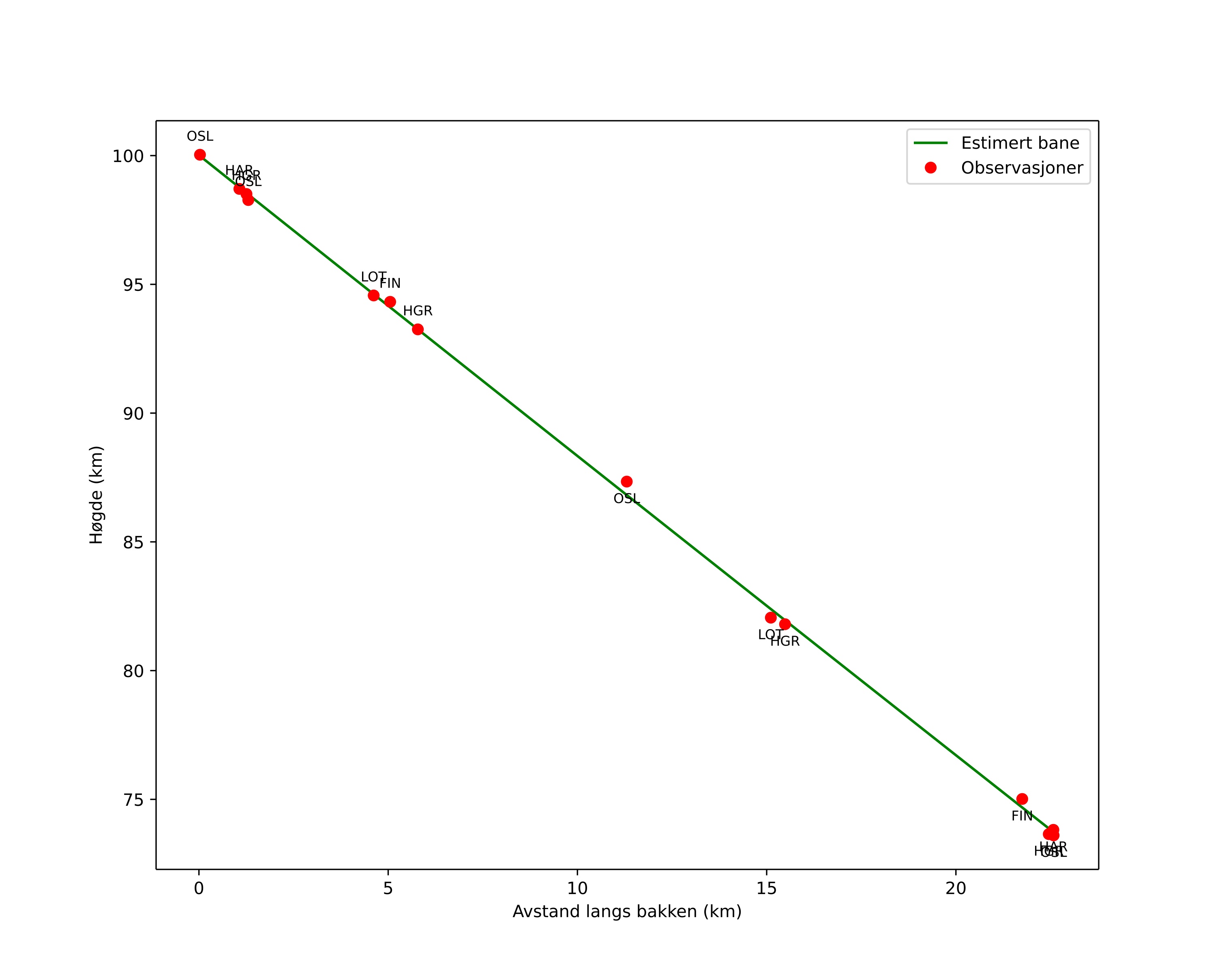
Atmosférická dráha meteoru:
| Počátečnà výška: | 100,0 km |
| Konečná výška: | 73,7 km |
| Počátečnà poloha: | 60,095N 8,987E |
| Konečná poloha: | 60,298N 9,029E |
| Směr: | 5,8° |
| Sklon: | 49,3° |
| VstupnĂ rychlost: | 30,5 km/s |
| Rektascenze radiantu: | 07:01 (105,4°) |
| Deklinace radiantu: | 17,9° |
| MeteorickĂ˝ roj: | sporadickĂ˝ |
|
Elementy dráhy meteoroidu:
| Vzdálenost v periheliu: | 0,417 AU |
| Excentricita: | 0,860 |
| Sklon dráhy: | 5,1° |
| Délka vzestupného uzlu: | 97,2° |
| Argument perihelia: | 104,2° |
| Střednà anomálie: | 352,0° |
| Epocha: | 2025 DEC 29 00:14:55 |
|