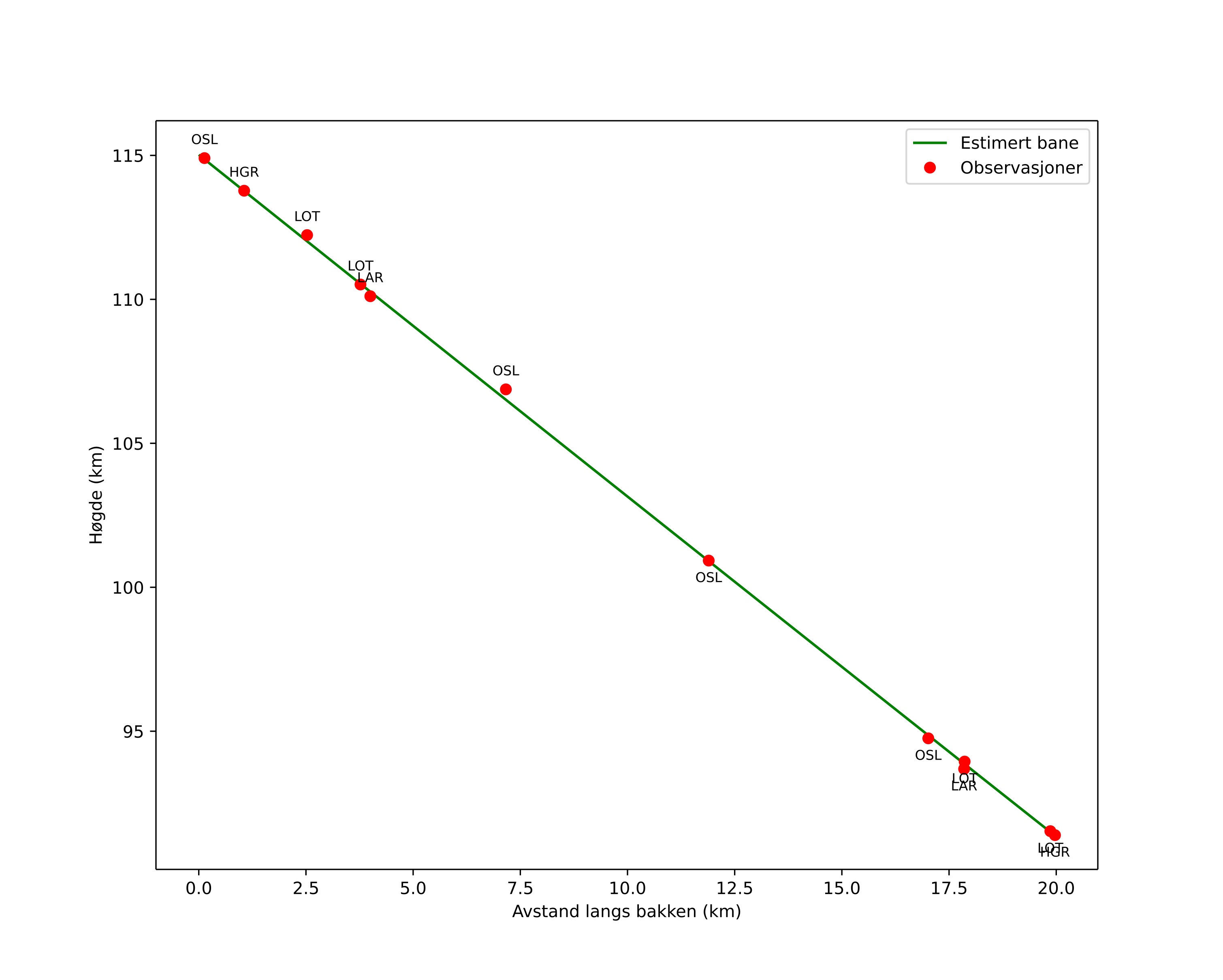
Meteorens atmosfæriske bane:
| Starthøgde: | 115,0 km |
| Slutthøgde: | 91,4 km |
| Startposisjon: | 59,654N 12,328E |
| Sluttposisjon: | 59,766N 12,050E |
| Retning: | 308,7° |
| Fallvinkel: | 49,8° |
| Inngangshastighet: | 55,3 km/s |
| Radiantens rektascensjon: | 11:16 (169,2°) |
| Radiantens deklinasjon: | 26,8° |
| Meteorsverm: | desember-leonis-minoridene |
|
Meteoroidens baneelement:
| Perihelavstand: | 0,353 AU |
| Eksentrisitet: | 0,732 |
| Inklinasjon: | 127,7° |
| Knutelengde: | 277,2° |
| Perihelargument: | 301,1° |
| Midlere anomali: | 329,6° |
| Epoke: | 2025 DEC 29 01:40:31 |
|