🇳🇴 🇬🇧 🇩🇪 🇨🇿 🇫🇮

Meteor over Gelting 2025-12-29 02:39:51 UTC

KML-fil  |  Interaktivt kart

Kartet viser peilingene for meteoren. De lysere linjene viser retningene fra observasjonsstedene for meteorens tilsynekomst, og de mørkere linjene viser hvor den sist kunne sees. Den blå pila viser meteorens synlige ferd.

static map
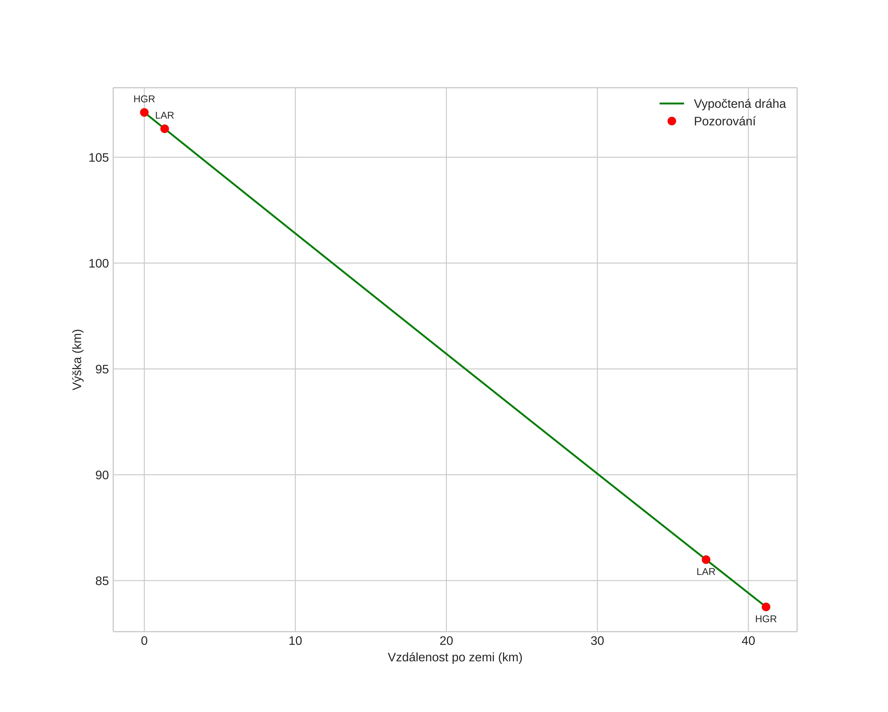
height profile
Meteorens atmosfæriske bane:
Starthøgde: 107,1 km
Slutthøgde: 83,8 km
Startposisjon: 55,175N 10,265E
Sluttposisjon: 54,811N 10,144E
Retning: 190,8°
Fallvinkel: 29,5°
Inngangshastighet: 49,2 km/s
Radiantens rektascensjon: 20:30 (307,6°)
Radiantens deklinasjon: 62,4°
Meteorsverm: sporadisk
Meteoroidens baneelement:
Perihelavstand: 0,983 AU
Eksentrisitet: 3,464
Inklinasjon: 46,3°
Knutelengde: 277,3°
Perihelargument: 178,9°
Midlere anomali: 1,9°
Epoke: 2025 DEC 29 02:39:51
orbit plot

Ikke-interaktivt plott | Interaktivt plott

position vs time
speed and acceleration

Hagar (HGR) cam4


gnomonic
Videoer
• Gnomonisk
• Gnomonisk med koordinater
• Original
• Original med koordinater
Bilder
• Gnomonisk
• Gnomonisk med koordinater
• Original
• Original med koordinater
Tekstfiler
• Deteksjon
• Observasjon
• Koordinater
• Logg
Lysstyrke

Larvik (LAR) cam4


gnomonic
Videoer
• Gnomonisk
• Gnomonisk med koordinater
• Original
• Original med koordinater
Bilder
• Gnomonisk
• Gnomonisk med koordinater
• Original
• Original med koordinater
Tekstfiler
• Deteksjon
• Observasjon
• Koordinater
• Logg
Lysstyrke