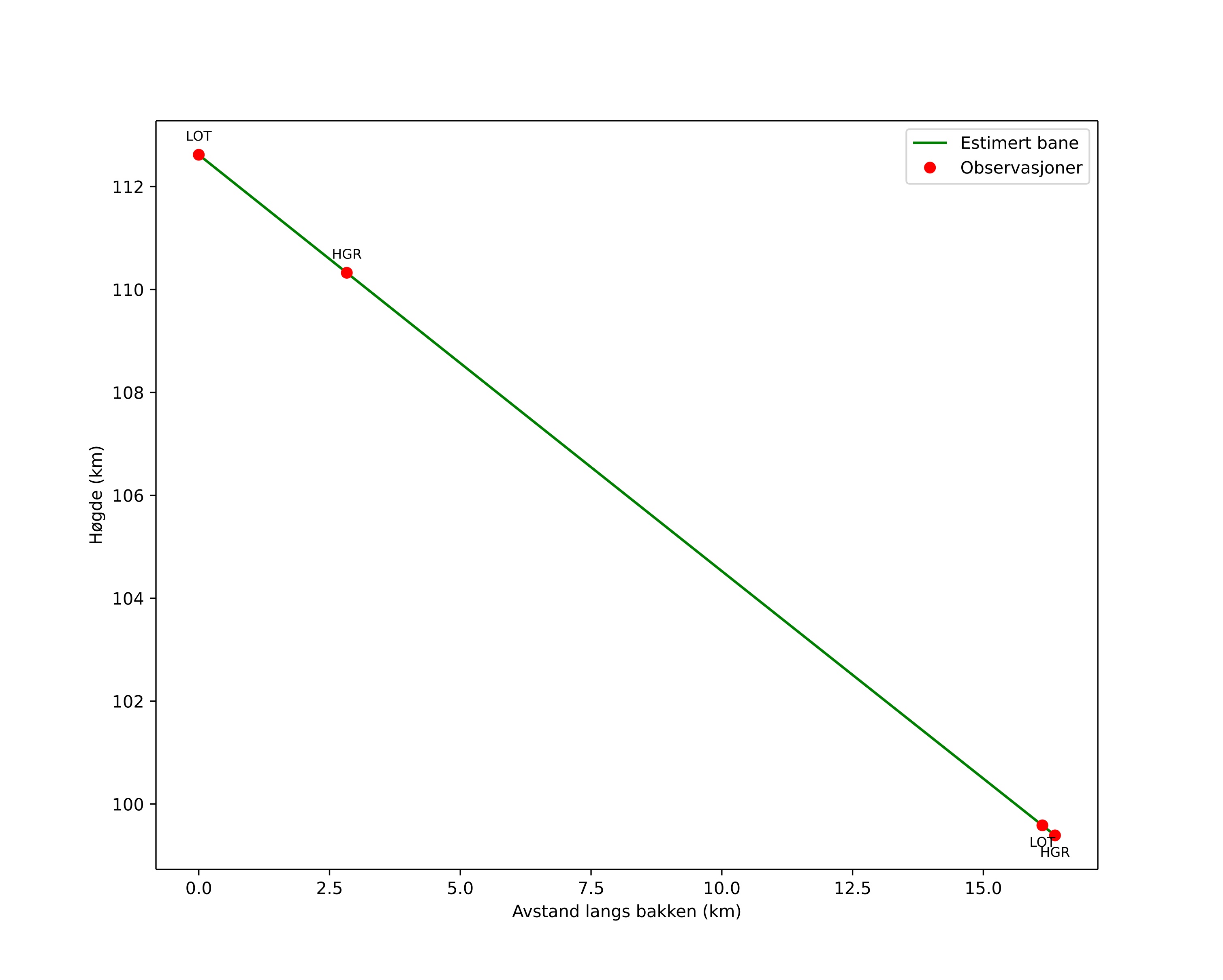
Atmosférická dráha meteoru:
| Počátečnà výška: | 112,6 km |
| Konečná výška: | 99,4 km |
| Počátečnà poloha: | 59,954N 11,763E |
| Konečná poloha: | 60,088N 11,640E |
| Směr: | 335,5° |
| Sklon: | 38,9° |
| VstupnĂ rychlost: | 67,2 km/s |
| Rektascenze radiantu: | 13:12 (198,0°) |
| Deklinace radiantu: | 10,6° |
| MeteorickĂ˝ roj: | sporadickĂ˝ |
|
Elementy dráhy meteoroidu:
| Vzdálenost v periheliu: | 0,957 AU |
| Excentricita: | 0,645 |
| Sklon dráhy: | 149,7° |
| Délka vzestupného uzlu: | 277,4° |
| Argument perihelia: | 158,7° |
| Střednà anomálie: | 3,6° |
| Epocha: | 2025 DEC 29 04:38:51 |
|