🇳🇴 🇬🇧 🇩🇪 🇨🇿 🇫🇮

Meteor over Jevnaker 2025-12-29 05:17:28 UTC

KML-fil  |  Interaktivt kart

Kartet viser peilingene for meteoren. De lysere linjene viser retningene fra observasjonsstedene for meteorens tilsynekomst, og de mørkere linjene viser hvor den sist kunne sees. Den blå pila viser meteorens synlige ferd.

static map
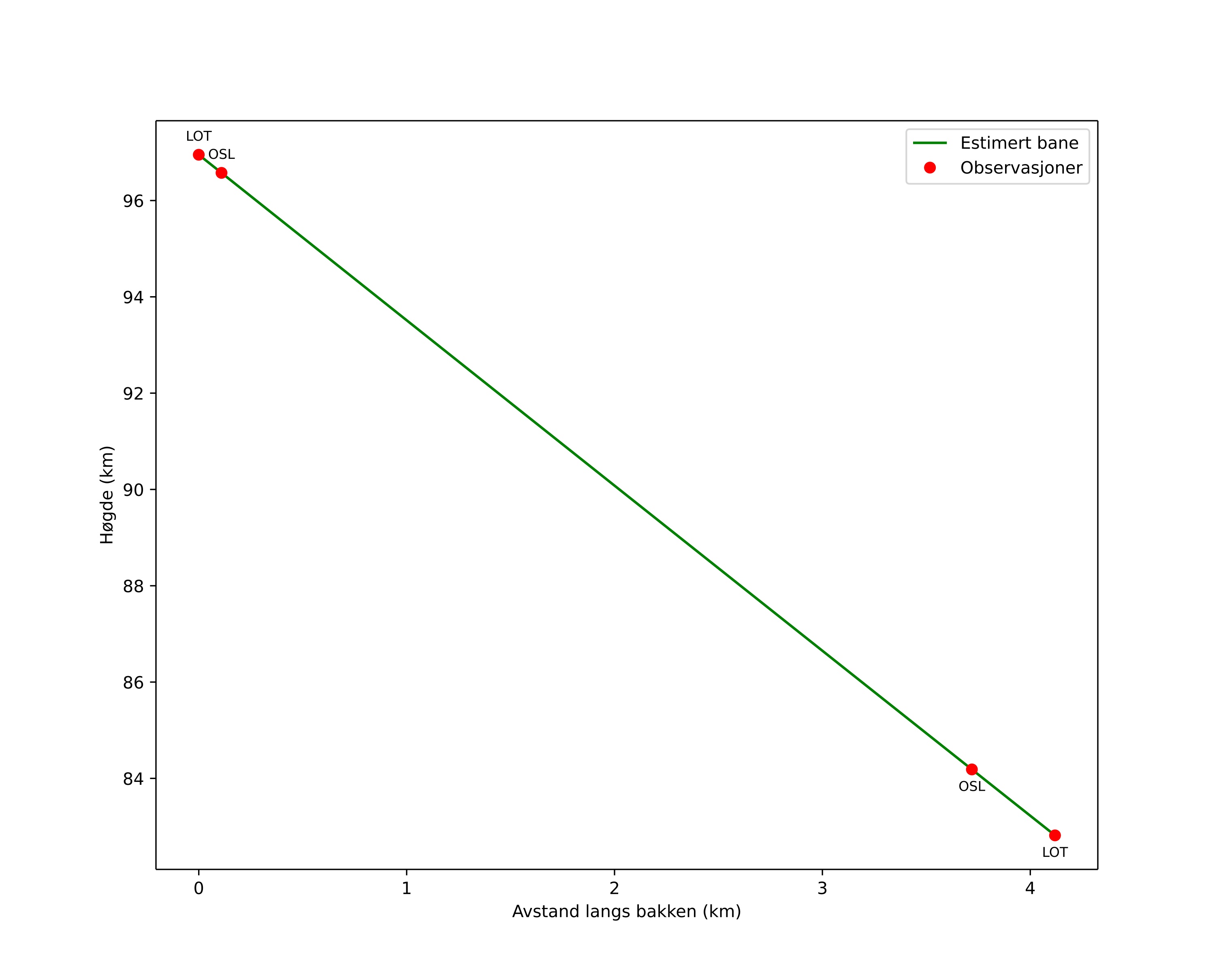
height profile
Meteorens atmosfæriske bane:
Starthøgde: 97,0 km
Slutthøgde: 82,8 km
Startposisjon: 60,309N 10,307E
Sluttposisjon: 60,343N 10,335E
Retning: 22,3°
Fallvinkel: 73,8°
Inngangshastighet: 50,6 km/s
Radiantens rektascensjon: 11:52 (178,2°)
Radiantens deklinasjon: 44,7°
Meteorsverm: sporadisk
Meteoroidens baneelement:
Perihelavstand: 0,645 AU
Eksentrisitet: 0,682
Inklinasjon: 94,7°
Knutelengde: 277,4°
Perihelargument: 261,4°
Midlere anomali: 344,6°
Epoke: 2025 DEC 29 05:17:28
orbit plot

Ikke-interaktivt plott | Interaktivt plott

position vs time
speed and acceleration

Loten (LOT) cam7


gnomonic
Videoer
• Gnomonisk
• Gnomonisk med koordinater
• Original
• Original med koordinater
Bilder
• Gnomonisk
• Gnomonisk med koordinater
• Original
• Original med koordinater
Tekstfiler
• Deteksjon
• Observasjon
• Koordinater
• Logg
Lysstyrke

Voksenlia (OSL) cam7


gnomonic
Videoer
• Gnomonisk
• Gnomonisk med koordinater
• Original
• Original med koordinater
Bilder
• Gnomonisk
• Gnomonisk med koordinater
• Original
• Original med koordinater
Tekstfiler
• Deteksjon
• Observasjon
• Koordinater
• Logg
Lysstyrke