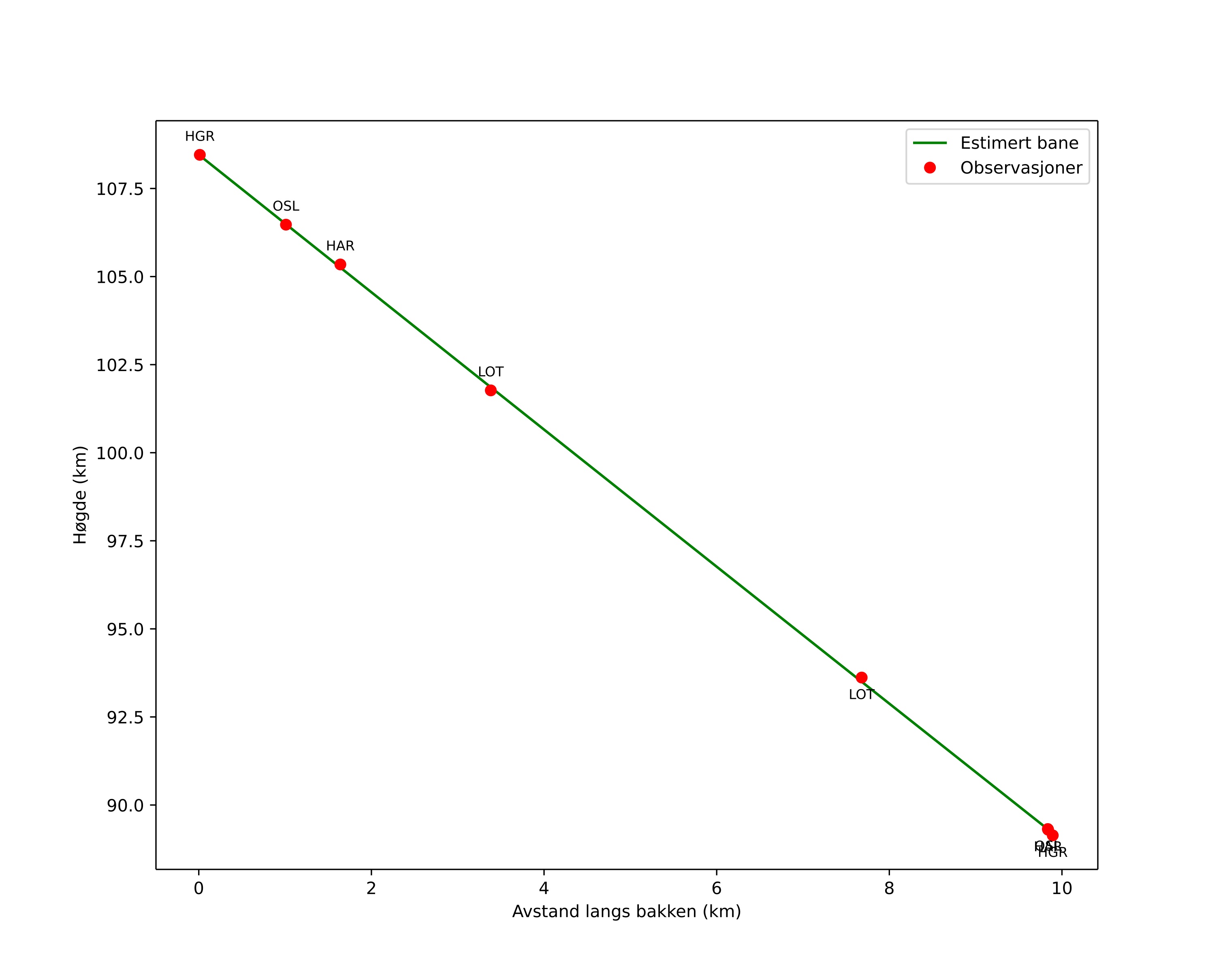
Atmosphärische Bahn des Meteors:
| Anfangshöhe: | 108,5 km |
| Endhöhe: | 89,2 km |
| Startposition: | 60,590N 7,855E |
| Endposition: | 60,634N 7,697E |
| Richtung: | 299,7° |
| Neigungswinkel: | 62,8° |
| Eintrittsgeschwindigkeit: | 55,0 km/s |
| Rektaszension des Radianten: | 12:08 (182,1°) |
| Deklination des Radianten: | 41,5° |
| Meteorstrom: | sporadisch |
|
Bahnelemente des Meteoroiden:
| Periheldistanz: | 0,721 AU |
| Exzentrizität: | 0,759 |
| Inklination: | 103,1° |
| Länge des aufsteigenden Knotens: | 278,3° |
| Argument des Perihels: | 247,6° |
| Mittlere Anomalie: | 352,5° |
| Epoche: | 2025 DEC 30 02:55:34 |
|