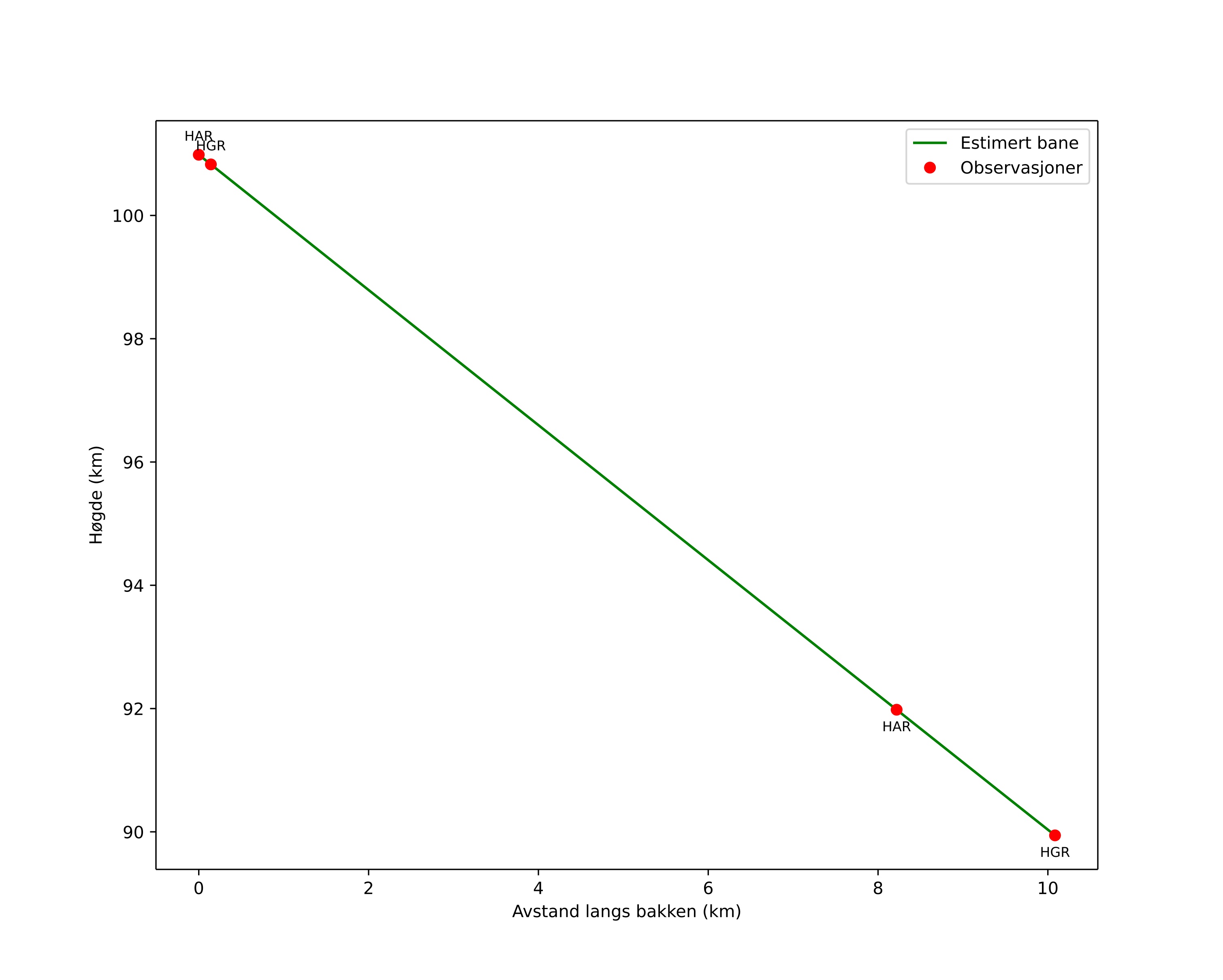
Atmosférická dráha meteoru:
| Počátečnà výška: | 101,0 km |
| Konečná výška: | 89,9 km |
| Počátečnà poloha: | 58,870N 10,215E |
| Konečná poloha: | 58,892N 10,044E |
| Směr: | 284,0° |
| Sklon: | 47,7° |
| VstupnĂ rychlost: | 59,3 km/s |
| Rektascenze radiantu: | 14:02 (210,6°) |
| Deklinace radiantu: | 33,1° |
| MeteorickĂ˝ roj: | sporadickĂ˝ |
|
Elementy dráhy meteoroidu:
| Vzdálenost v periheliu: | 0,974 AU |
| Excentricita: | 0,879 |
| Sklon dráhy: | 107,9° |
| Délka vzestupného uzlu: | 278,3° |
| Argument perihelia: | 168,4° |
| Střednà anomálie: | 0,4° |
| Epocha: | 2025 DEC 30 03:22:23 |
|