Atmosférická dráha meteoru:
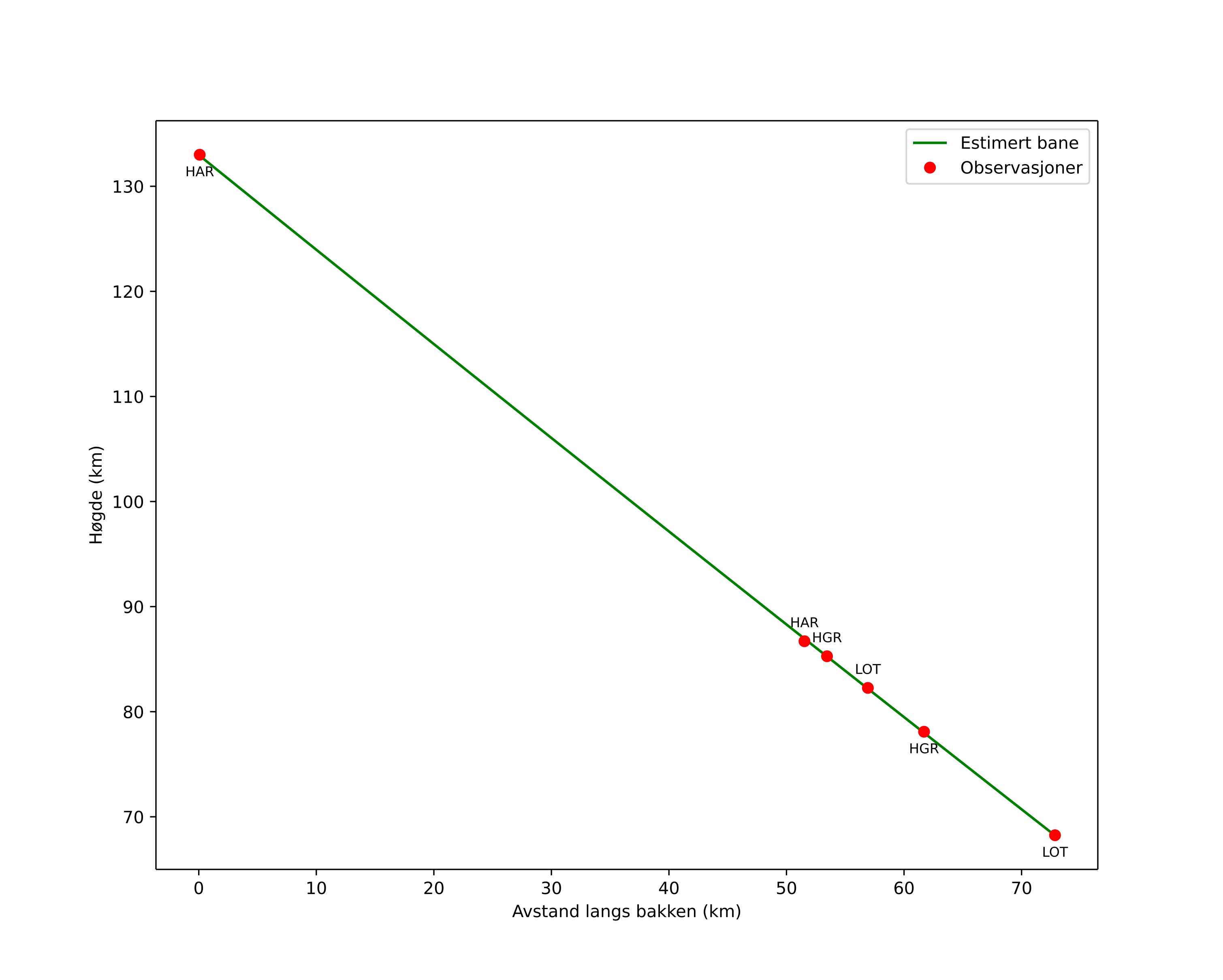
| Počátečnà výška: | 133,0 km |
| Konečná výška: | 68,2 km |
| Počátečnà poloha: | 60,395N 10,280E |
| Konečná poloha: | 60,735N 11,418E |
| Směr: | 58,2° |
| Sklon: | 41,7° |
| VstupnĂ rychlost: | 33,3 km/s |
| Rektascenze radiantu: | 09:00 (135,0°) |
| Deklinace radiantu: | 21,1° |
| MeteorickĂ˝ roj: | sporadickĂ˝ |
|
Elementy dráhy meteoroidu:
| Vzdálenost v periheliu: | 0,101 AU |
| Excentricita: | 0,894 |
| Sklon dráhy: | 9,4° |
| Délka vzestupného uzlu: | 278,4° |
| Argument perihelia: | 334,2° |
| Střednà anomálie: | 319,4° |
| Epocha: | 2025 DEC 30 04:42:47 |
|