🇳🇴 🇬🇧 🇩🇪 🇨🇿 🇫🇮

Meteor over Moelv 2025-12-30 05:02:06 UTC

KML-fil  |  Interaktivt kart

Kartet viser peilingene for meteoren. De lysere linjene viser retningene fra observasjonsstedene for meteorens tilsynekomst, og de mørkere linjene viser hvor den sist kunne sees. Den blå pila viser meteorens synlige ferd.

static map
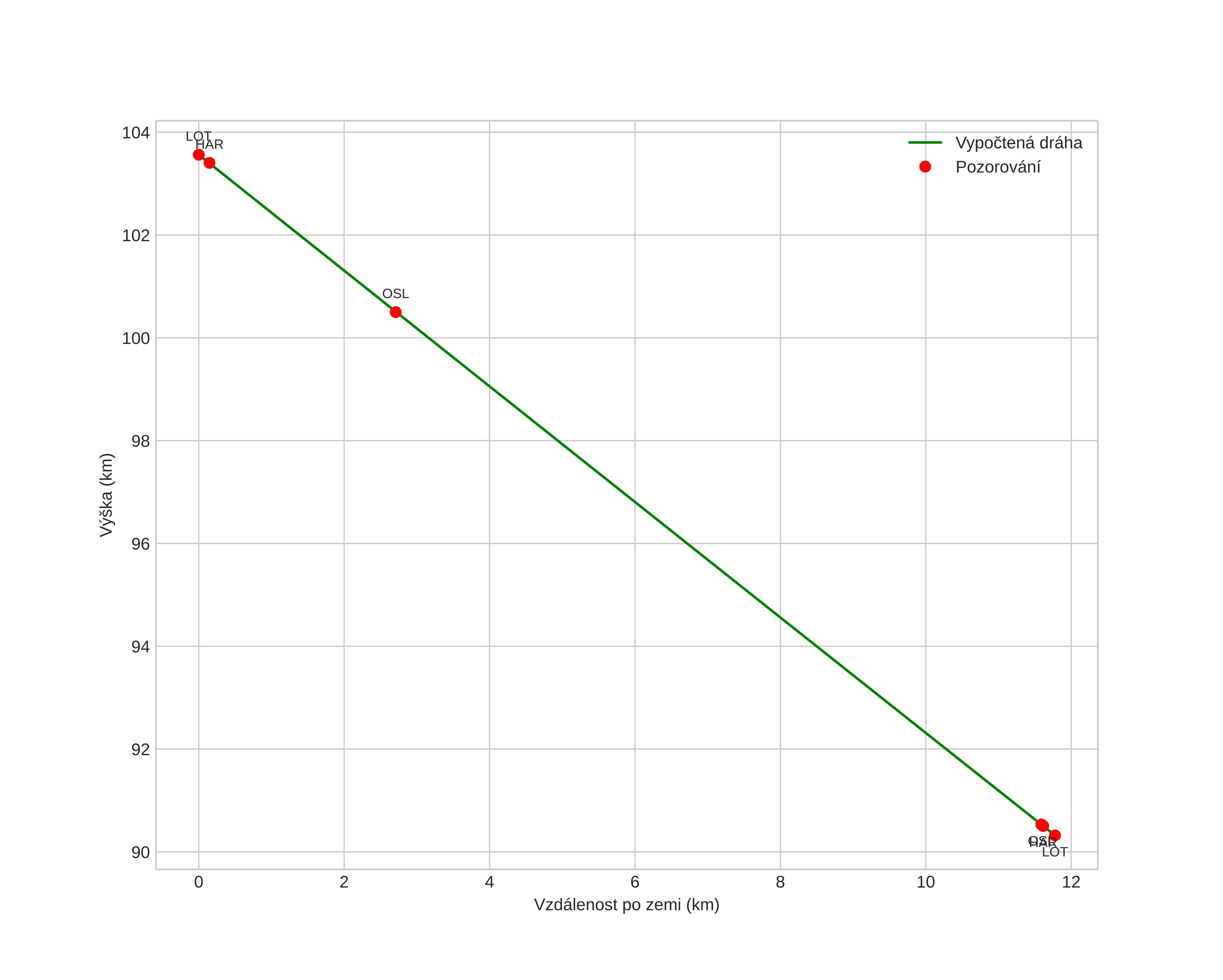
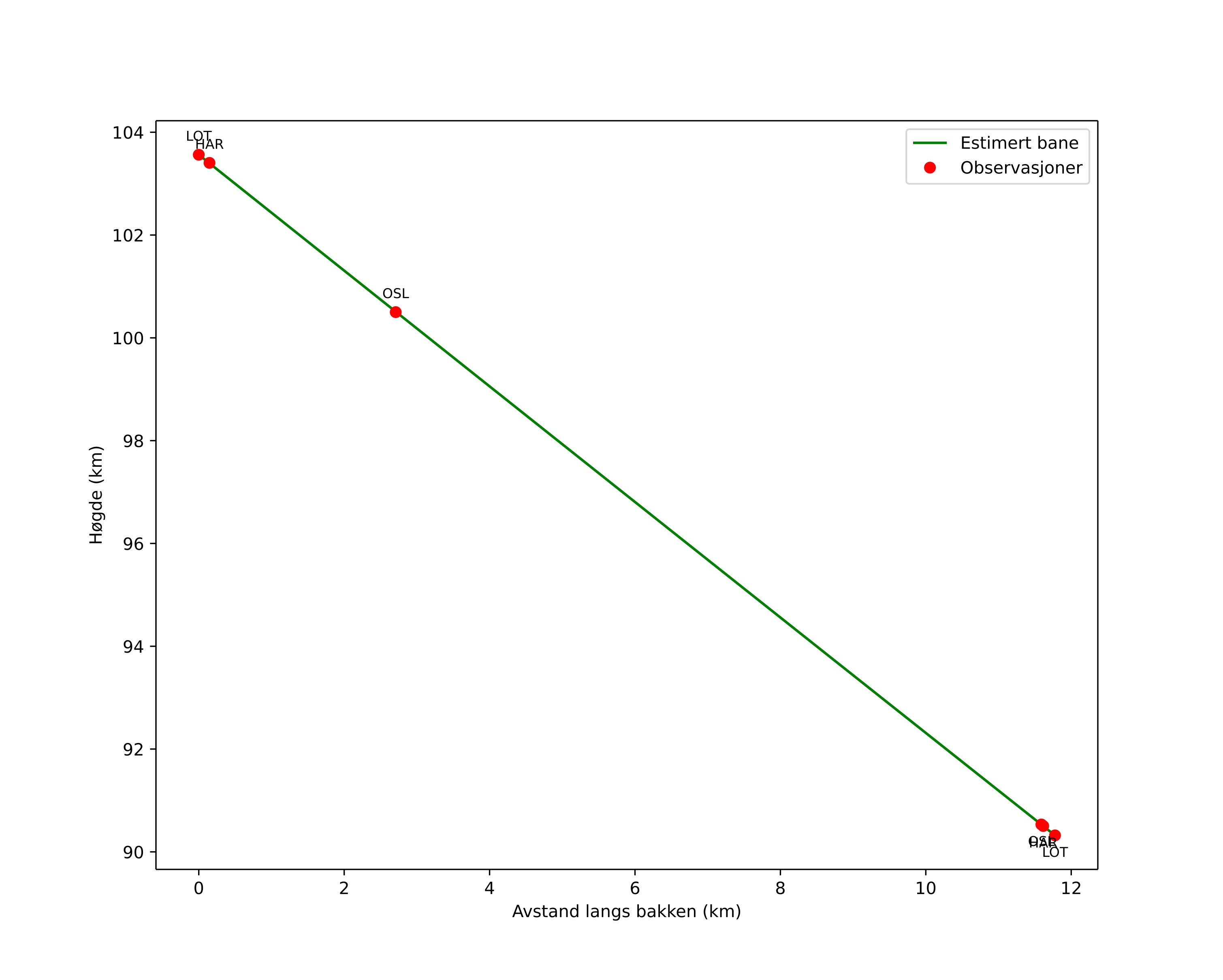
height profile
Meteorens atmosfæriske bane:
Starthøgde: 103,6 km
Slutthøgde: 90,3 km
Startposisjon: 60,797N 10,627E
Sluttposisjon: 60,892N 10,720E
Retning: 25,4°
Fallvinkel: 48,5°
Inngangshastighet: 69,2 km/s
Radiantens rektascensjon: 11:06 (166,7°)
Radiantens deklinasjon: 20,9°
Meteorsverm: desember-leonis-minoridene
Meteoroidens baneelement:
Perihelavstand: 0,527 AU
Eksentrisitet: 1,161
Inklinasjon: 149,2°
Knutelengde: 278,4°
Perihelargument: 262,2°
Midlere anomali: -5,7°
Epoke: 2025 DEC 30 05:02:06
orbit plot

Ikke-interaktivt plott | Interaktivt plott

position vs time
speed and acceleration

Harestua (HAR) cam6


gnomonic
Videoer
• Gnomonisk
• Gnomonisk med koordinater
• Original
• Original med koordinater
Bilder
• Gnomonisk
• Gnomonisk med koordinater
• Original
• Original med koordinater
Tekstfiler
• Deteksjon
• Observasjon
• Koordinater
• Logg
Lysstyrke

Loten (LOT) cam6


gnomonic
Videoer
• Gnomonisk
• Gnomonisk med koordinater
• Original
• Original med koordinater
Bilder
• Gnomonisk
• Gnomonisk med koordinater
• Original
• Original med koordinater
Tekstfiler
• Deteksjon
• Observasjon
• Koordinater
• Logg
Lysstyrke

Voksenlia (OSL) cam1


gnomonic
Videoer
• Gnomonisk
• Gnomonisk med koordinater
• Original
• Original med koordinater
Bilder
• Gnomonisk
• Gnomonisk med koordinater
• Original
• Original med koordinater
Tekstfiler
• Deteksjon
• Observasjon
• Koordinater
• Logg
Lysstyrke