🇳🇴 🇬🇧 🇩🇪 🇨🇿 🇫🇮

Meteor over Munkedal 2025-12-30 05:20:54 UTC

KML-fil  |  Interaktivt kart

Kartet viser peilingene for meteoren. De lysere linjene viser retningene fra observasjonsstedene for meteorens tilsynekomst, og de mørkere linjene viser hvor den sist kunne sees. Den blå pila viser meteorens synlige ferd.

static map
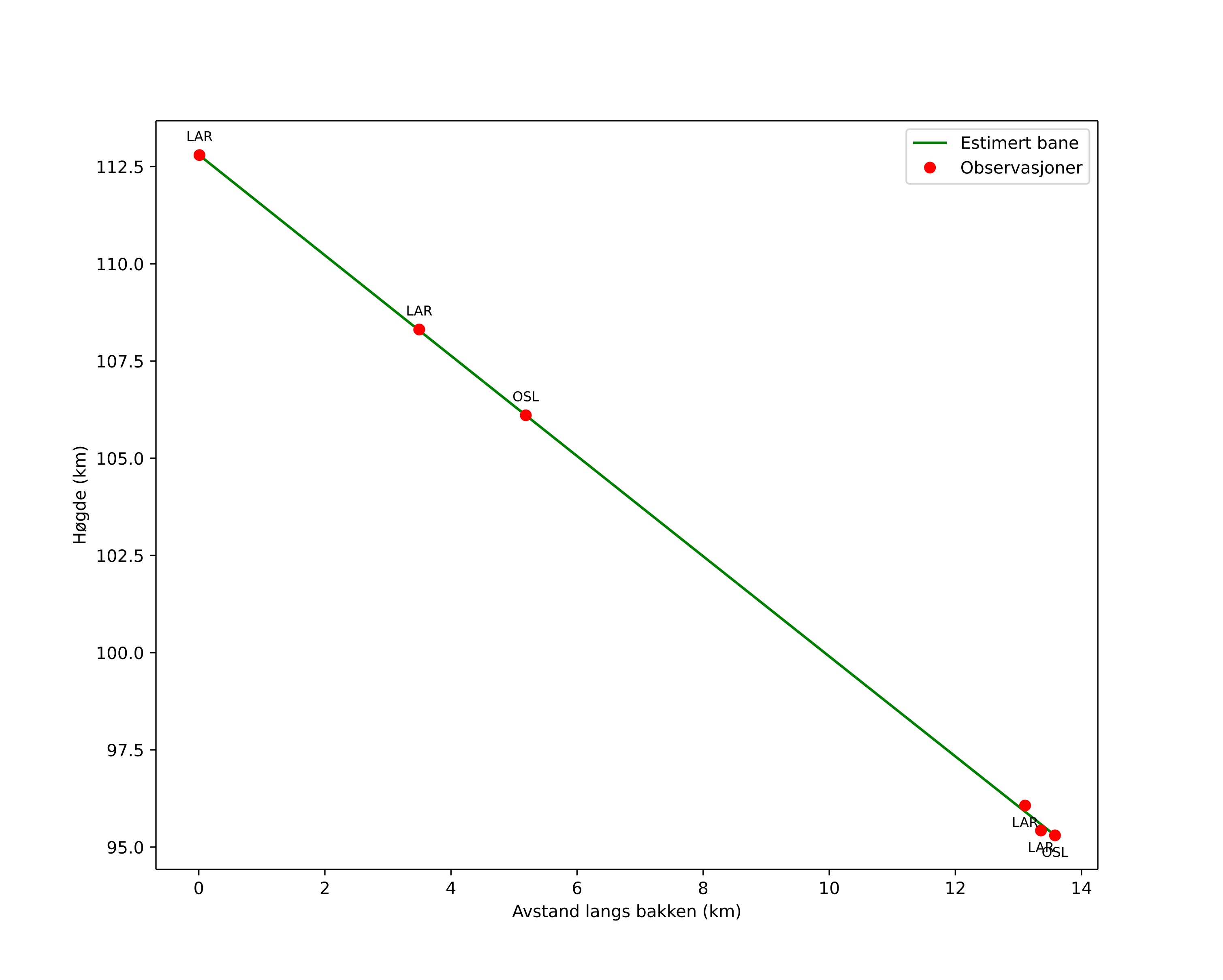
height profile
Meteorens atmosfæriske bane:
Starthøgde: 112,8 km
Slutthøgde: 95,3 km
Startposisjon: 58,396N 11,603E
Sluttposisjon: 58,517N 11,619E
Retning: 4,0°
Fallvinkel: 52,2°
Inngangshastighet: 73,0 km/s
Radiantens rektascensjon: 12:29 (187,5°)
Radiantens deklinasjon: 20,4°
Meteorsverm: sporadisk
Meteoroidens baneelement:
Perihelavstand: 0,928 AU
Eksentrisitet: 1,337
Inklinasjon: 143,3°
Knutelengde: 278,4°
Perihelargument: 205,8°
Midlere anomali: -3,4°
Epoke: 2025 DEC 30 05:20:54
orbit plot

Ikke-interaktivt plott | Interaktivt plott

position vs time
speed and acceleration

Larvik (LAR) cam3


gnomonic
Videoer
• Gnomonisk
• Gnomonisk med koordinater
• Original
• Original med koordinater
Bilder
• Gnomonisk
• Gnomonisk med koordinater
• Original
• Original med koordinater
Tekstfiler
• Deteksjon
• Observasjon
• Koordinater
• Logg
Lysstyrke

Larvik (LAR) cam7


gnomonic
Videoer
• Gnomonisk
• Gnomonisk med koordinater
• Original
• Original med koordinater
Bilder
• Gnomonisk
• Gnomonisk med koordinater
• Original
• Original med koordinater
Tekstfiler
• Deteksjon
• Observasjon
• Koordinater
• Logg
Lysstyrke

Voksenlia (OSL) cam3


gnomonic
Videoer
• Gnomonisk
• Gnomonisk med koordinater
• Original
• Original med koordinater
Bilder
• Gnomonisk
• Gnomonisk med koordinater
• Original
• Original med koordinater
Tekstfiler
• Deteksjon
• Observasjon
• Koordinater
• Logg
Lysstyrke