🇳🇴 🇬🇧 🇩🇪 🇨🇿 🇫🇮

Meteor over Strømmen 2025-12-30 05:49:51 UTC

KML-fil  |  Interaktivt kart

Kartet viser peilingene for meteoren. De lysere linjene viser retningene fra observasjonsstedene for meteorens tilsynekomst, og de mørkere linjene viser hvor den sist kunne sees. Den blå pila viser meteorens synlige ferd.

static map
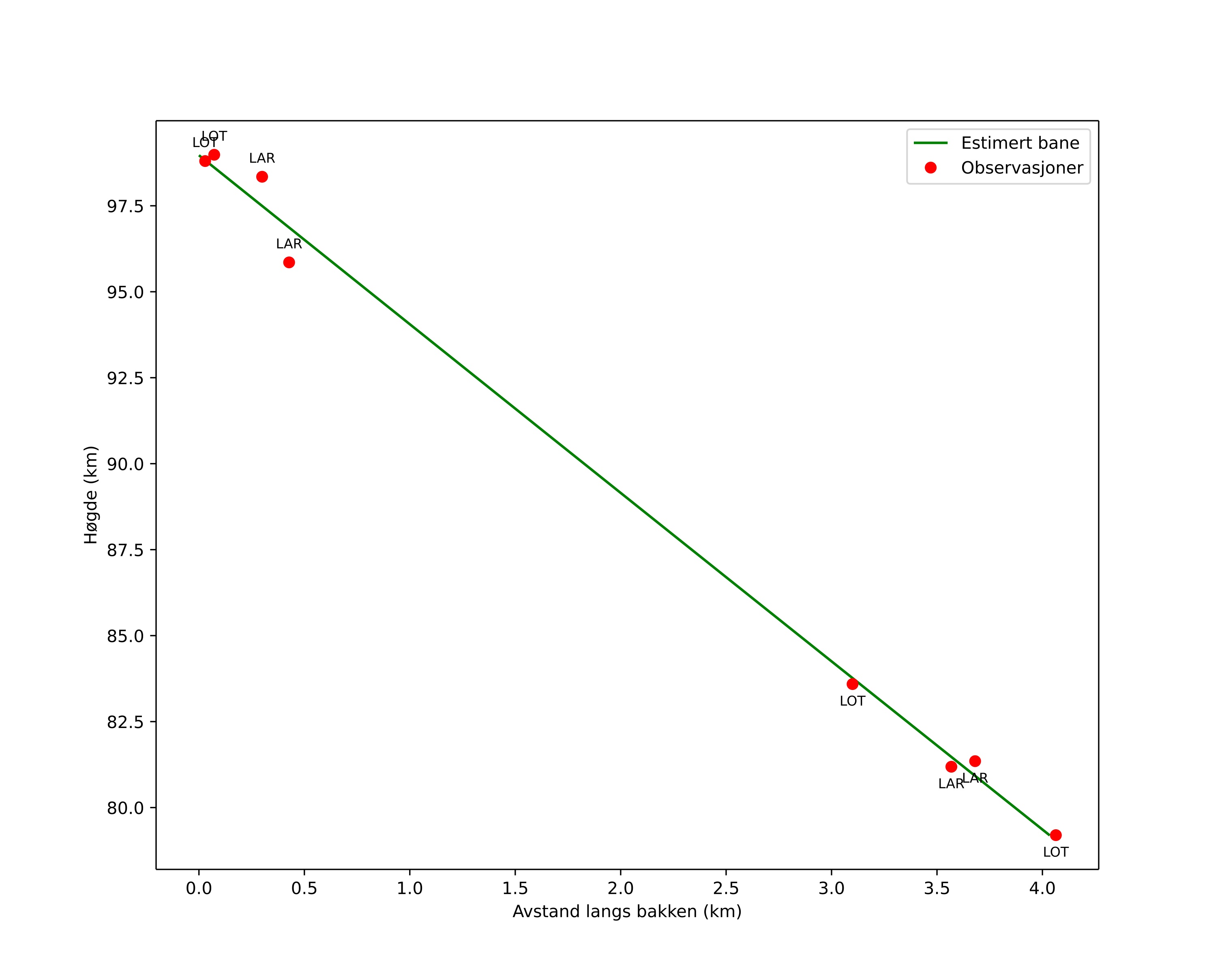
height profile
Meteorens atmosfæriske bane:
Starthøgde: 99,0 km
Slutthøgde: 79,2 km
Startposisjon: 59,911N 11,086E
Sluttposisjon: 59,927N 11,021E
Retning: 295,6°
Fallvinkel: 78,5°
Inngangshastighet: 48,0 km/s
Radiantens rektascensjon: 14:17 (214,5°)
Radiantens deklinasjon: 53,5°
Meteorsverm: Kvadrantidene
Meteoroidens baneelement:
Perihelavstand: 0,974 AU
Eksentrisitet: 0,918
Inklinasjon: 79,3°
Knutelengde: 278,4°
Perihelargument: 191,2°
Midlere anomali: 359,8°
Epoke: 2025 DEC 30 05:49:51
orbit plot

Ikke-interaktivt plott | Interaktivt plott

position vs time
speed and acceleration

Larvik (LAR) cam1


gnomonic
Videoer
• Gnomonisk
• Gnomonisk med koordinater
• Original
• Original med koordinater
Bilder
• Gnomonisk
• Gnomonisk med koordinater
• Original
• Original med koordinater
Tekstfiler
• Deteksjon
• Observasjon
• Koordinater
• Logg
Lysstyrke

Larvik (LAR) cam6


gnomonic
Videoer
• Gnomonisk
• Gnomonisk med koordinater
• Original
• Original med koordinater
Bilder
• Gnomonisk
• Gnomonisk med koordinater
• Original
• Original med koordinater
Tekstfiler
• Deteksjon
• Observasjon
• Koordinater
• Logg
Lysstyrke

Loten (LOT) cam4


gnomonic
Videoer
• Gnomonisk
• Gnomonisk med koordinater
• Original
• Original med koordinater
Bilder
• Gnomonisk
• Gnomonisk med koordinater
• Original
• Original med koordinater
Tekstfiler
• Deteksjon
• Observasjon
• Koordinater
• Logg
Lysstyrke

Loten (LOT) cam7


gnomonic
Videoer
• Gnomonisk
• Gnomonisk med koordinater
• Original
• Original med koordinater
Bilder
• Gnomonisk
• Gnomonisk med koordinater
• Original
• Original med koordinater
Tekstfiler
• Deteksjon
• Observasjon
• Koordinater
• Logg
Lysstyrke