🇳🇴 🇬🇧 🇩🇪 🇨🇿 🇫🇮

Meteor over Folldal 2026-01-03 17:42:05 UTC

KML-fil  |  Interaktivt kart

Kartet viser peilingene for meteoren. De lysere linjene viser retningene fra observasjonsstedene for meteorens tilsynekomst, og de mørkere linjene viser hvor den sist kunne sees. Den blå pila viser meteorens synlige ferd.

static map
height profile
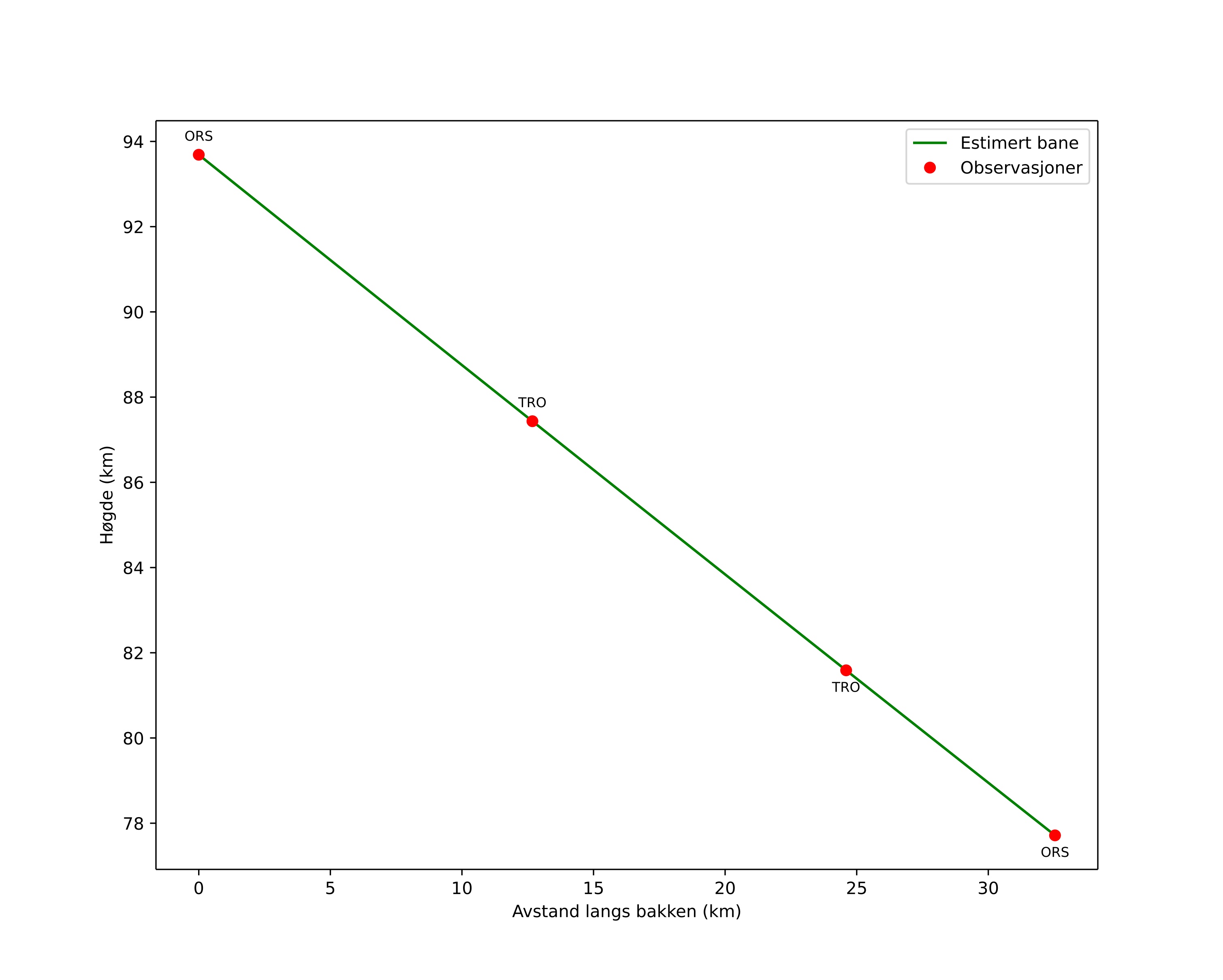
Meteorens atmosfæriske bane:
Starthøgde: 93,7 km
Slutthøgde: 77,7 km
Startposisjon: 62,278N 9,716E
Sluttposisjon: 62,006N 9,946E
Retning: 158,3°
Fallvinkel: 26,2°
Inngangshastighet: 43,2 km/s
Radiantens rektascensjon: 15:20 (230,1°)
Radiantens deklinasjon: 50,0°
Meteorsverm: Kvadrantidene
Meteoroidens baneelement:
Perihelavstand: 0,980 AU
Eksentrisitet: 0,733
Inklinasjon: 72,2°
Knutelengde: 283,0°
Perihelargument: 172,6°
Midlere anomali: 0,8°
Epoke: 2026 JAN 03 17:42:05
orbit plot

Ikke-interaktivt plott | Interaktivt plott

position vs time
speed and acceleration

Orsta (ORS) cam1


gnomonic
Videoer
• Gnomonisk
• Gnomonisk med koordinater
• Original
• Original med koordinater
Bilder
• Gnomonisk
• Gnomonisk med koordinater
• Original
• Original med koordinater
Tekstfiler
• Deteksjon
• Observasjon
• Koordinater
• Logg
Lysstyrke

Trondheim (TRO) cam3


gnomonic
Videoer
• Gnomonisk
• Gnomonisk med koordinater
• Original
• Original med koordinater
Bilder
• Gnomonisk
• Gnomonisk med koordinater
• Original
• Original med koordinater
Tekstfiler
• Deteksjon
• Observasjon
• Koordinater
• Logg
Lysstyrke