🇳🇴 🇬🇧 🇩🇪 🇨🇿 🇫🇮

Meteor, poloha: Neskaupstaður 2026-01-03 19:19:25 UTC

Soubor KML  |  Interaktivní mapa

Mapa zobrazuje dráhy meteoru. Světlejší čáry ukazují směry od pozorovacích stanic při objevení se meteoru a tmavší čáry, kde byl naposledy viděn. Modrá šipka značí viditelnou dráhu meteoru.

static map
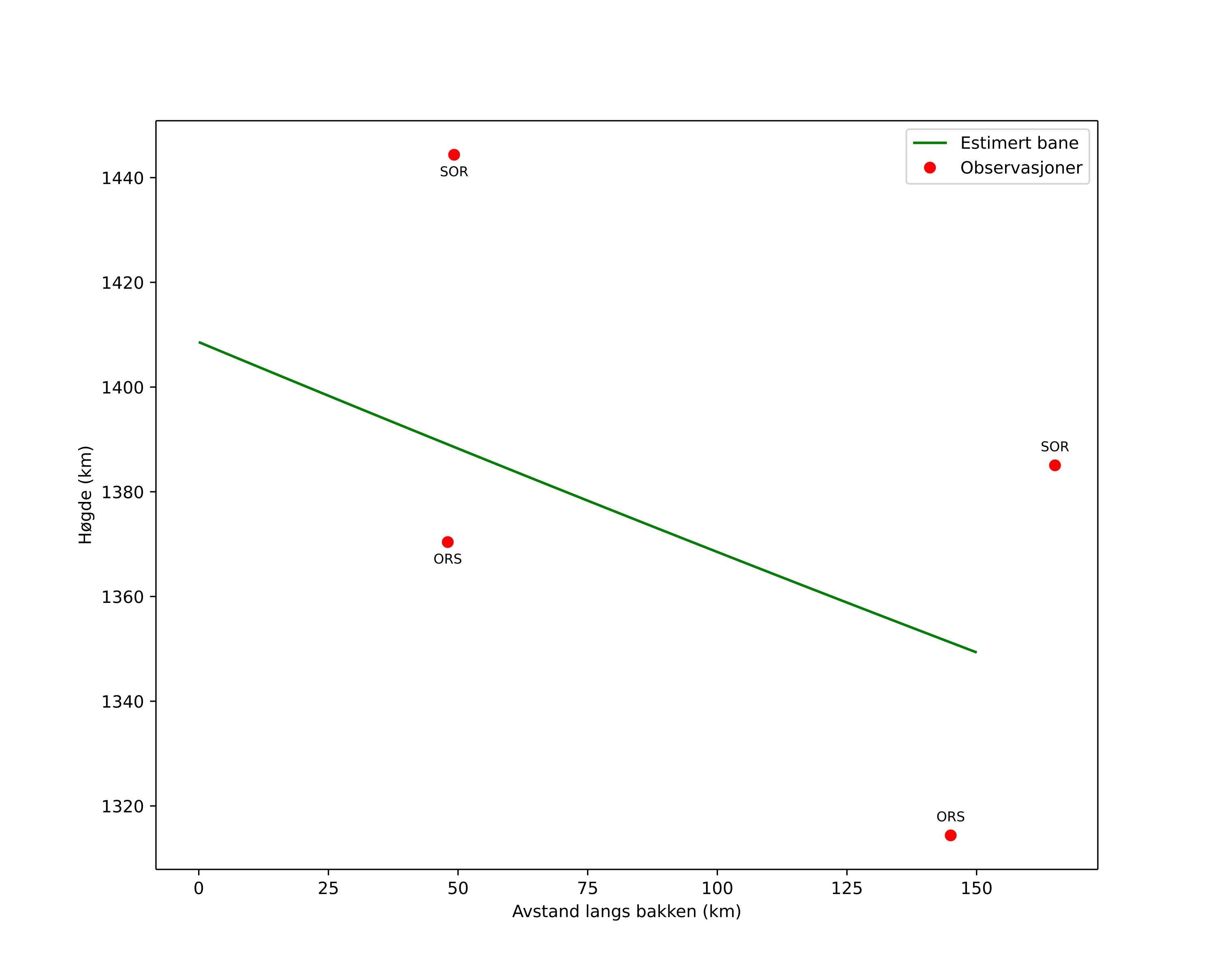
height profile
Atmosférická dráha meteoru:
Počáteční výška: 1408,6 km
Konečná výška: 1349,3 km
Počáteční poloha: 63,099N -10,984E
Konečná poloha: 64,407N -10,233E
Směr: 13,9°
Sklon: 21,6°
position vs time
speed and acceleration