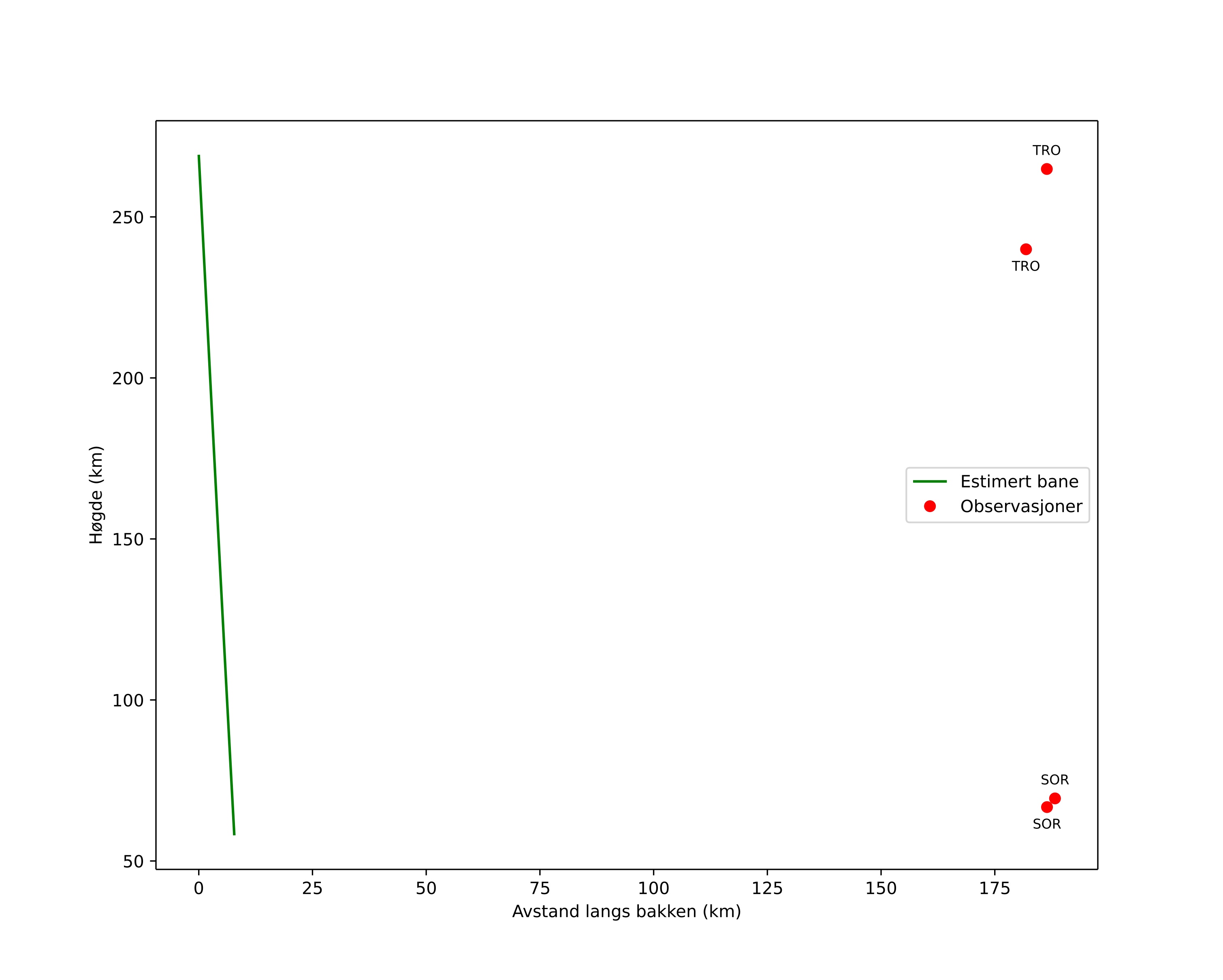
Atmosférická dráha meteoru:
| Počátečnà výška: | 269,3 km |
| Konečná výška: | 58,0 km |
| Počátečnà poloha: | 67,395N 17,376E |
| Konečná poloha: | 67,454N 17,276E |
| Směr: | 326,9° |
| Sklon: | 87,9° |
| VstupnĂ rychlost: | 15,0 km/s |
| Rektascenze radiantu: | 09:18 (139,6°) |
| Deklinace radiantu: | 65,3° |
| MeteorickĂ˝ roj: | sporadickĂ˝ |
|
Elementy dráhy meteoroidu:
| Vzdálenost v periheliu: | 0,772 AU |
| Excentricita: | 0,228 |
| Sklon dráhy: | 14,7° |
| Délka vzestupného uzlu: | 283,3° |
| Argument perihelia: | 279,1° |
| Střednà anomálie: | 287,1° |
| Epocha: | 2026 JAN 04 01:11:33 |
|