🇳🇴 🇬🇧 🇩🇪 🇨🇿 🇫🇮

Meteor over Hagfors 2026-01-10 19:24:11 UTC

KML-fil  |  Interaktivt kart

Kartet viser peilingene for meteoren. De lysere linjene viser retningene fra observasjonsstedene for meteorens tilsynekomst, og de mørkere linjene viser hvor den sist kunne sees. Den blå pila viser meteorens synlige ferd.

static map
height profile
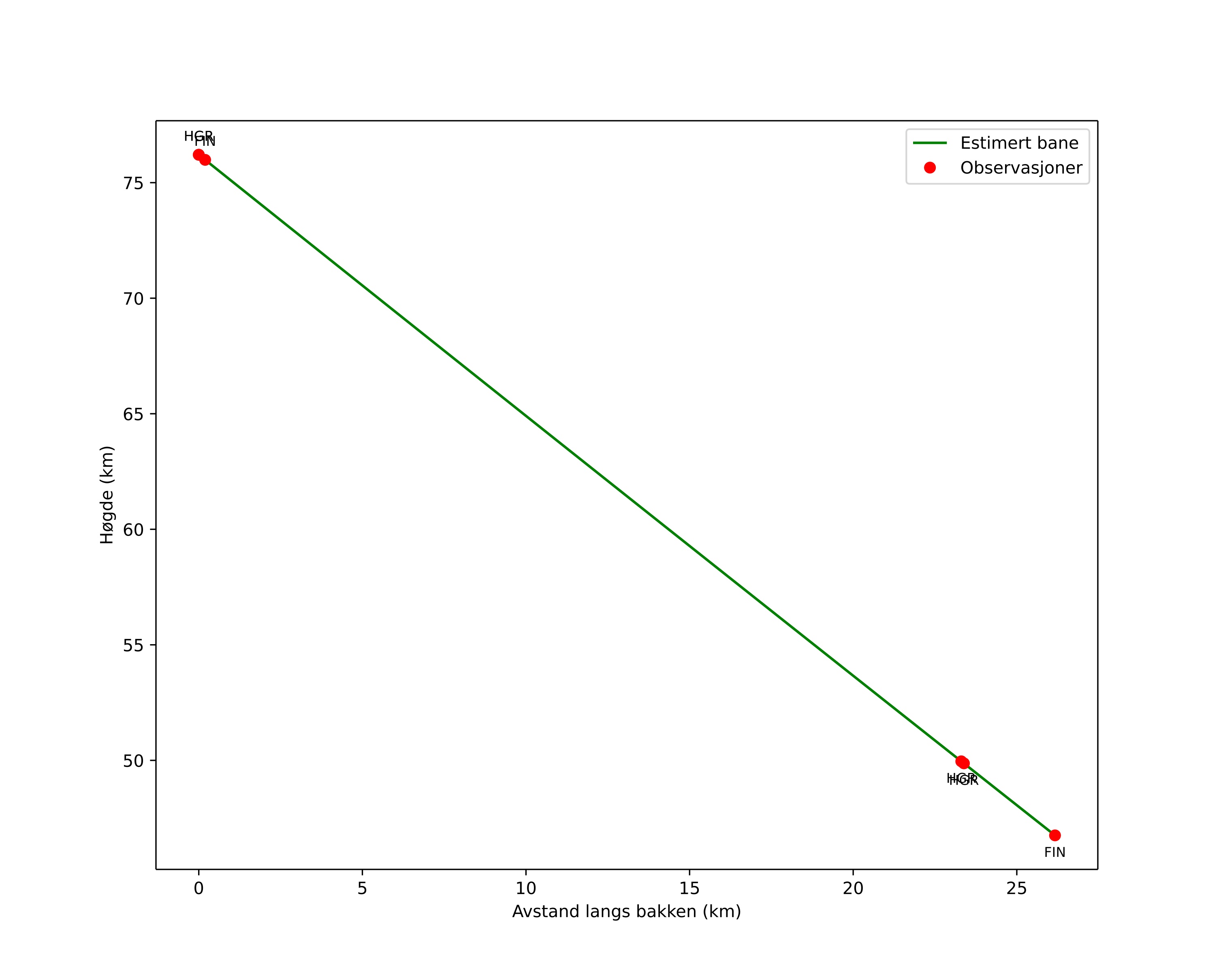
Meteorens atmosfæriske bane:
Starthøgde: 76,2 km
Slutthøgde: 46,8 km
Startposisjon: 60,013N 13,352E
Sluttposisjon: 60,136N 13,755E
Retning: 58,4°
Fallvinkel: 48,3°
Inngangshastighet: 13,1 km/s
Radiantens rektascensjon: 00:27 (6,9°)
Radiantens deklinasjon: 16,0°
Meteorsverm: sporadisk
Meteoroidens baneelement:
Perihelavstand: 0,982 AU
Eksentrisitet: 0,538
Inklinasjon: 2,3°
Knutelengde: 290,1°
Perihelargument: 175,7°
Midlere anomali: 1,1°
Epoke: 2026 JAN 10 19:24:11
orbit plot

Ikke-interaktivt plott | Interaktivt plott

position vs time
speed and acceleration

Finnskogen (FIN) cam3


gnomonic
Videoer
• Gnomonisk
• Gnomonisk med koordinater
• Original
• Original med koordinater
Bilder
• Gnomonisk
• Gnomonisk med koordinater
• Original
• Original med koordinater
Tekstfiler
• Deteksjon
• Observasjon
• Koordinater
• Logg
Lysstyrke

Hagar (HGR) cam3


gnomonic
Videoer
• Gnomonisk
• Gnomonisk med koordinater
• Original
• Original med koordinater
Bilder
• Gnomonisk
• Gnomonisk med koordinater
• Original
• Original med koordinater
Tekstfiler
• Deteksjon
• Observasjon
• Koordinater
• Logg
Lysstyrke