🇳🇴 🇬🇧 🇩🇪 🇨🇿 🇫🇮

Meteor, poloha: Färila 2026-01-10 19:39:37 UTC

Soubor KML  |  Interaktivní mapa

Mapa zobrazuje dráhy meteoru. Světlejší čáry ukazují směry od pozorovacích stanic při objevení se meteoru a tmavší čáry, kde byl naposledy viděn. Modrá šipka značí viditelnou dráhu meteoru.

static map
height profile
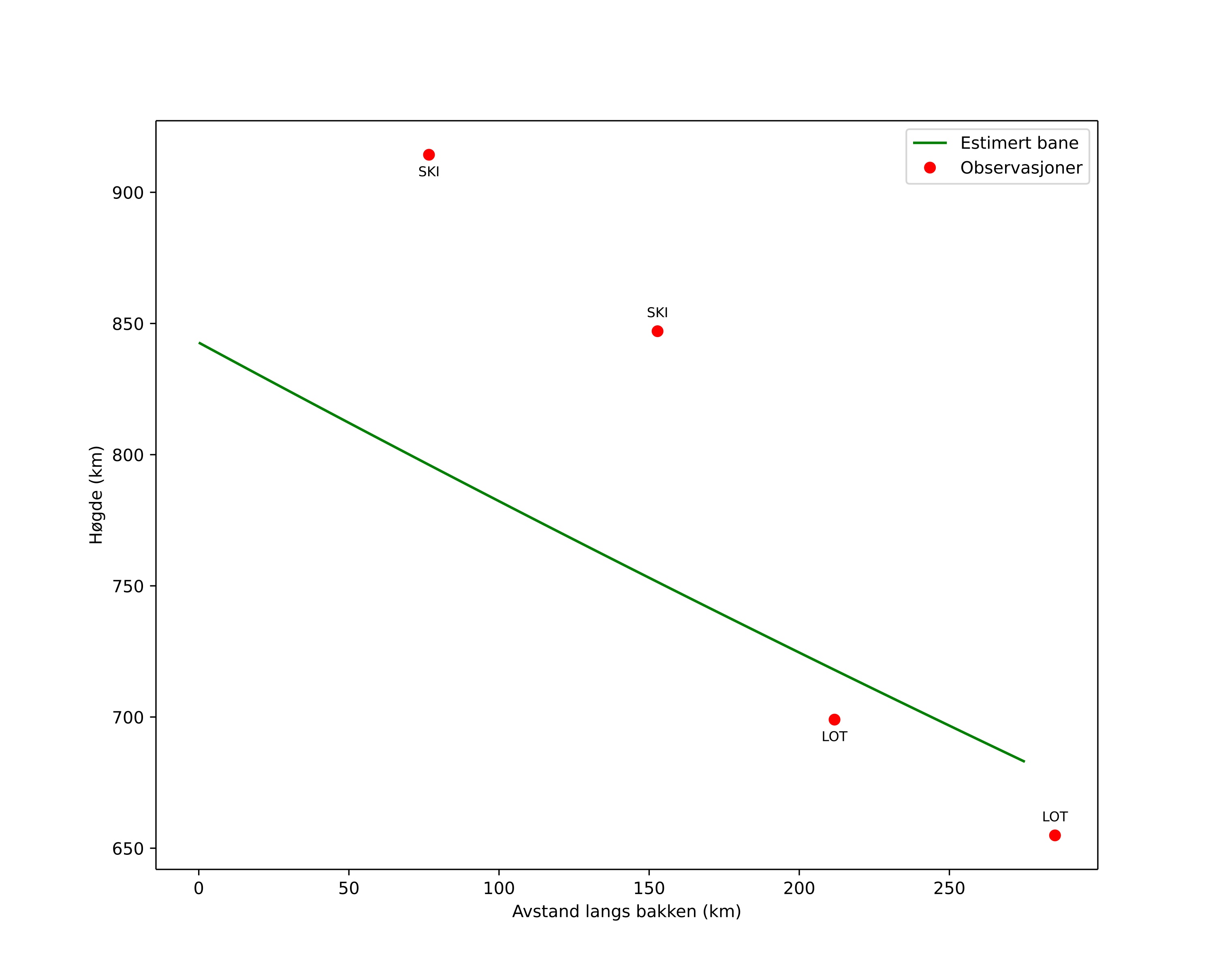
Atmosférická dráha meteoru:
Počáteční výška: 842,7 km
Konečná výška: 682,9 km
Počáteční poloha: 60,110N 11,652E
Konečná poloha: 61,741N 15,482E
Směr: 47,1°
Sklon: 30,1°
position vs time
speed and acceleration