🇳🇴 🇬🇧 🇩🇪 🇨🇿 🇫🇮

Meteor over Alta 2026-01-11 00:19:45 UTC

KML-fil  |  Interaktivt kart

Kartet viser peilingene for meteoren. De lysere linjene viser retningene fra observasjonsstedene for meteorens tilsynekomst, og de mørkere linjene viser hvor den sist kunne sees. Den blå pila viser meteorens synlige ferd.

static map
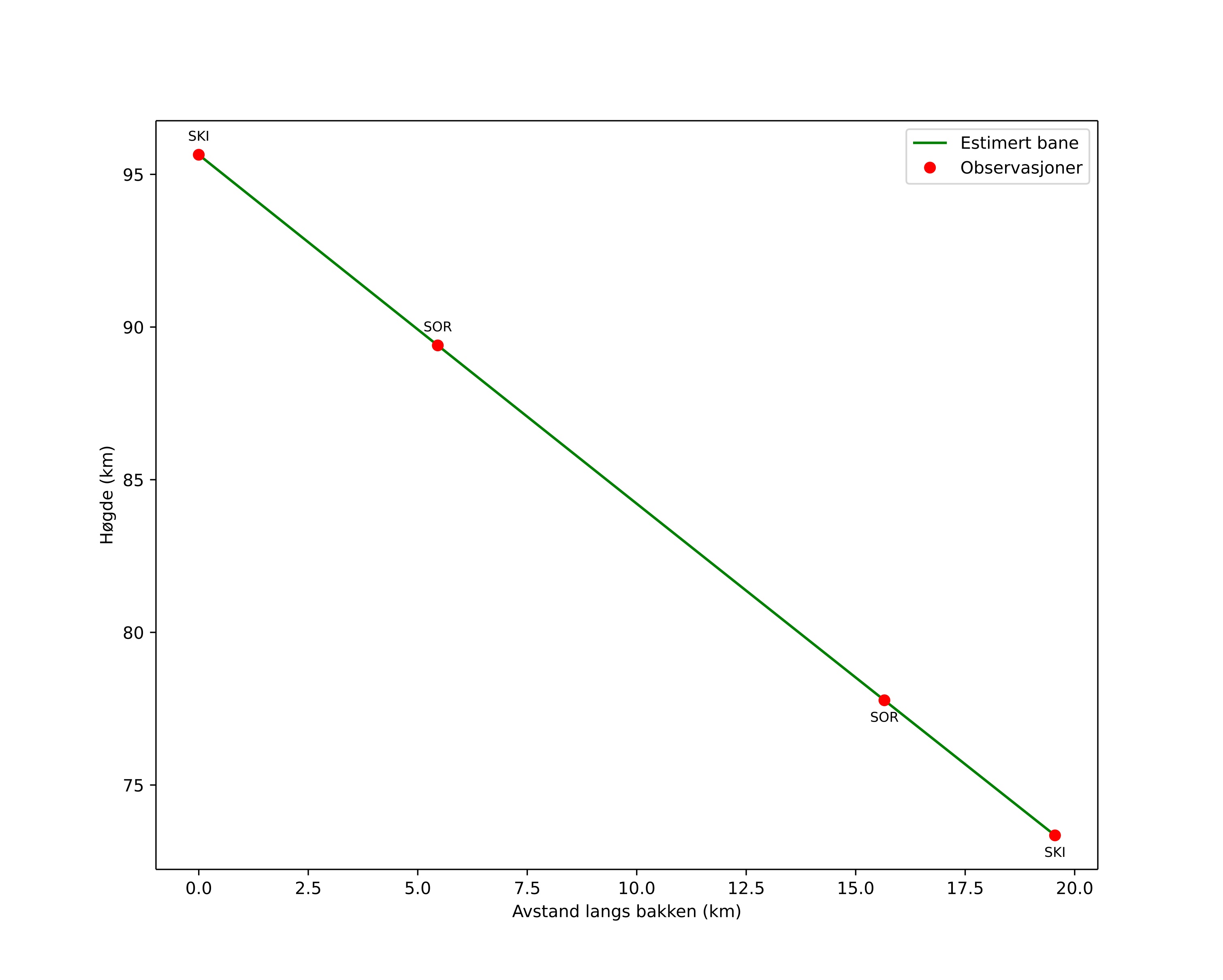
height profile
Meteorens atmosfæriske bane:
Starthøgde: 95,6 km
Slutthøgde: 73,4 km
Startposisjon: 69,962N 23,772E
Sluttposisjon: 70,134N 23,669E
Retning: 348,5°
Fallvinkel: 48,6°
Inngangshastighet: 40,8 km/s
Radiantens rektascensjon: 09:48 (147,2°)
Radiantens deklinasjon: 28,1°
Meteorsverm: sporadisk
Meteoroidens baneelement:
Perihelavstand: 0,127 AU
Eksentrisitet: 0,931
Inklinasjon: 39,5°
Knutelengde: 290,4°
Perihelargument: 323,8°
Midlere anomali: 346,0°
Epoke: 2026 JAN 11 00:19:45
orbit plot

Ikke-interaktivt plott | Interaktivt plott

position vs time
speed and acceleration

Skibotn (SKI) cam2


gnomonic
Videoer
• Gnomonisk
• Gnomonisk med koordinater
• Original
• Original med koordinater
Bilder
• Gnomonisk
• Gnomonisk med koordinater
• Original
• Original med koordinater
Tekstfiler
• Deteksjon
• Observasjon
• Koordinater
• Logg
Lysstyrke

Sorreisa (SOR) cam2


gnomonic
Videoer
• Gnomonisk
• Gnomonisk med koordinater
• Original
• Original med koordinater
Bilder
• Gnomonisk
• Gnomonisk med koordinater
• Original
• Original med koordinater
Tekstfiler
• Deteksjon
• Observasjon
• Koordinater
• Logg
Lysstyrke