🇳🇴 🇬🇧 🇩🇪 🇨🇿 🇫🇮

Meteor over Tretten 2026-01-11 02:11:06 UTC

KML-fil  |  Interaktivt kart

Kartet viser peilingene for meteoren. De lysere linjene viser retningene fra observasjonsstedene for meteorens tilsynekomst, og de mørkere linjene viser hvor den sist kunne sees. Den blå pila viser meteorens synlige ferd.

static map
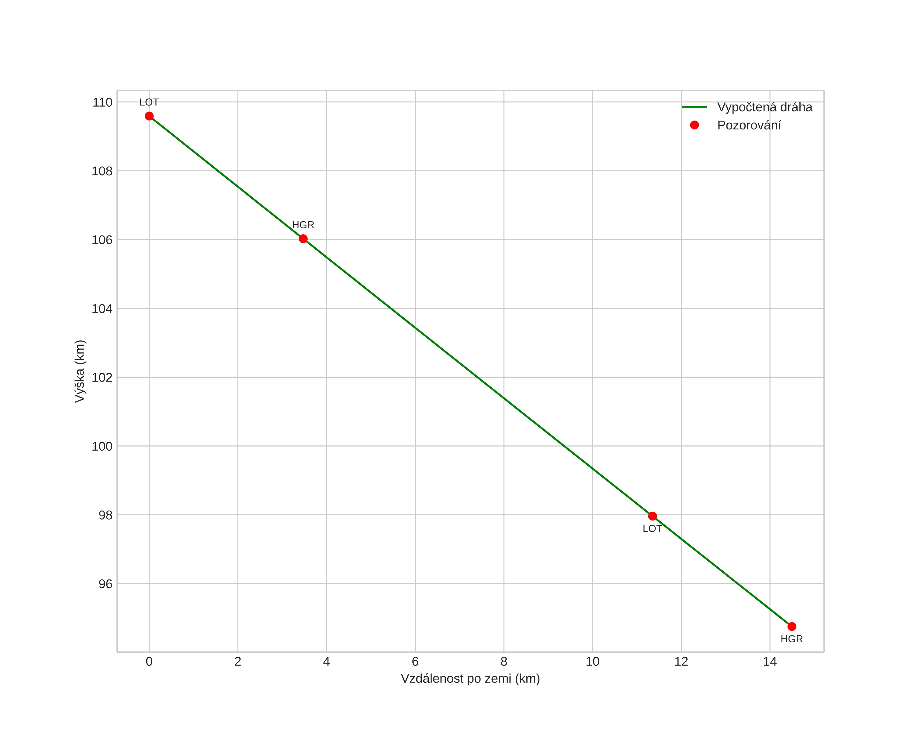
height profile
Meteorens atmosfæriske bane:
Starthøgde: 109,6 km
Slutthøgde: 94,8 km
Startposisjon: 61,269N 10,385E
Sluttposisjon: 61,369N 10,211E
Retning: 320,1°
Fallvinkel: 45,6°
Inngangshastighet: 68,0 km/s
Radiantens rektascensjon: 12:08 (182,1°)
Radiantens deklinasjon: 21,4°
Meteorsverm: desember-leonis-minoridene
Meteoroidens baneelement:
Perihelavstand: 0,604 AU
Eksentrisitet: 1,153
Inklinasjon: 137,4°
Knutelengde: 290,5°
Perihelargument: 253,8°
Midlere anomali: -4,3°
Epoke: 2026 JAN 11 02:11:06
orbit plot

Ikke-interaktivt plott | Interaktivt plott

position vs time
speed and acceleration

Hagar (HGR) cam7


gnomonic
Videoer
• Gnomonisk
• Gnomonisk med koordinater
• Original
• Original med koordinater
Bilder
• Gnomonisk
• Gnomonisk med koordinater
• Original
• Original med koordinater
Tekstfiler
• Deteksjon
• Observasjon
• Koordinater
• Logg
Lysstyrke

Loten (LOT) cam6


gnomonic
Videoer
• Gnomonisk
• Gnomonisk med koordinater
• Original
• Original med koordinater
Bilder
• Gnomonisk
• Gnomonisk med koordinater
• Original
• Original med koordinater
Tekstfiler
• Deteksjon
• Observasjon
• Koordinater
• Logg
Lysstyrke